Neha Venkatesh

215 posts

Neha Venkatesh

Neha Venkatesh

@NehaVMD

Hematology/Oncology Fellow @UCSFCancer

San Francisco, CA Beigetreten Eylül 2023
428 Folgt206 Follower
Neha Venkatesh retweetet
The Intima
The Intima@The_Intima·
When a doctor becomes a patient, we witness a different kind of illness narrative: one that opens up the 'clinical encounter' in a whole different way. Lucky for us as patients and lucky for clinicians too, @RanaAwdish opens our eyes + minds once again when her new book "After Shock" comes out in June. Honored to have her essay in our new anthology too!
The Intima tweet media
The Intima@The_Intima

She is already a legendary voice in clinical and literary circles—those who want a taste of her superb writing must read Rana Awdish's "In Shock" now 👏👏👏👏👏 and pre-order "After Shock."

English
1
7
33
8.5K
Neha Venkatesh retweetet
Tanya Jindal
Tanya Jindal@TanyaJindal97·
UNITE study analysis @ASCO #GU26 evaluating prior IO exposure and outcomes with EVP in aUC: 68 had prior IO ⬇️PFS: 6.7 vs 11.7 months (HR 1.60) ⬇️ OS: 13.3 vs 21.9 months (HR 1.53)
IO–EVP interval not associated with improved outcomes Important considerations for sequencing
Tanya Jindal tweet mediaTanya Jindal tweet media
English
1
9
35
4.8K
Neha Venkatesh retweetet
Mitchell Boshkos
Mitchell Boshkos@MitchellBoshkos·
Great few days at @ASCO GU in San Francisco. Grateful to my mentor @OncHahn and the incredible GU team at @MDAndersonNews for the opportunity and support #ASCOGU #ProstateCancer #GUOncology #MDAnderson
Andy Hahn@OncHahn

Great work by @MitchellBoshkos @kgre23 and @MourattJulia on their work investigating how cardiometabolic factors influence the efficacy of APM in men with localized and metastatic APMN prostate cancer #ASCOGU26 @BCM_InternalMed

English
0
2
14
949
Neha Venkatesh retweetet
Matt Campbell MD, MS
Matt Campbell MD, MS@DocMattCampbell·
At #GU26 a tremendous overview of optimal trial design by @PavlosMsaouel. Pavlos has repeatedly shown that even in very rare cancers, optimally designed studies can rapidly led to practice changing findings. A visionary in our field.
Matt Campbell MD, MS tweet mediaMatt Campbell MD, MS tweet mediaMatt Campbell MD, MS tweet media
English
2
19
54
8.5K
Neha Venkatesh retweetet
Vadim Koshkin MD
Vadim Koshkin MD@koshkin85·
Looking forward to this in just a couple of days @asco #GU26 @UCSFCancer @UCSFUrology @UCSFMedicine
Decera Clinical Education@DeceraClinEdu

Join us in just a few days for our Winter 2026 Genitourinary Oncology CME Events, featuring both in-person and virtual simulcast options. Learn from Wassim Abida, MD, PhD, @neerajaiims, Fed Ghali, MD, @PGrivasMDPhD, Shilpa Gupta, MD, @koshkin85, Daniel P. Petrylak, MD as they cover: This expert-led series will focus on the latest therapeutic advances in genitourinary oncology, including evolving treatment strategies in advanced bladder cancer, real-world application of PARP inhibitors in prostate cancer, and emerging HER2-targeted therapies shaping care for patients with HER2-positive advanced bladder cancer. All programs are CME-certified and complimentary to attend, offering practical, evidence-based insights you can apply directly to patient care. ✨ Register now: bit.ly/49W3spJ #Oncology #MedicalEducation #OncologyEducation

English
0
1
4
772
Neha Venkatesh retweetet
Nazli Dizman
Nazli Dizman@NazliDizman·
💫Wonderful to join @thenasheffect @ASCO and this fantastic lineup of panelists to discuss one of the most important aspects of professional development. 😇Really looking forward to sharing my my experience and highlight the amazing #mentors #sponsors #frientors who’ve played such a big role in my journey. 🔗Register tinyurl.com/ydz6zctd ⏰1/30 Fri 8:30 am CST @RyanNipp @cspramesh @IshwariaMD @Betzabe100 @OAlhalabiMD @montypal @crisbergerot @DrChoueiri @DrYukselUrun @ReginaBarCar #MedEd #MedTwitter @AnaVManana @AmandaNizamMD @ASCOTECAG @IMG_Oncologists
Rafeh Naqash, MD, FASCO@thenasheffect

Trainees/ Early Career Faculty please consider registering for this upcoming event on “From Mentorship to Manuscript” @ASCO with a line up of fantastic speakers and panelists @RyanNipp @cspramesh @IshwariaMD @ConquerCancerFd @ASCOTECAG events.zoom.us/ev/AmDPaTOYSY9…

English
0
13
33
5.5K
Neha Venkatesh retweetet
Martha Mims
Martha Mims@marthamims·
Very proud of Mitch and Kelly and their ASH abstract achievement award! Future looks bright for hematology!!
Martha Mims tweet media
English
0
2
4
308
Neha Venkatesh retweetet
Kelly Meza, MD
Kelly Meza, MD@KellyMezaMD·
I am deeply grateful to share that I matched at @MDAndersonNews 🙌🌟 This journey has been made even more meaningful by the incredible #mentors who guided me and the amazing #faculty I interacted with during my fellowship interviews. Thanks to all programs for the opportunity!
Kelly Meza, MD tweet media
English
41
16
349
19.3K
Neha Venkatesh retweetet
Andy Hahn
Andy Hahn@OncHahn·
(1/4) Here’s a tweetorial for LenCabo now available in @Annals_Oncology, tinyurl.com/5ddwm9u3 This was a multicenter, phase 2 trial that randomized 90 patients with mccRCC and is the 1st head-to-head comparison of contemporary angiogenesis TT after PD-1 CPI
Andy Hahn tweet mediaAndy Hahn tweet media
English
3
25
65
6.1K
Neha Venkatesh retweetet
Andy Hahn
Andy Hahn@OncHahn·
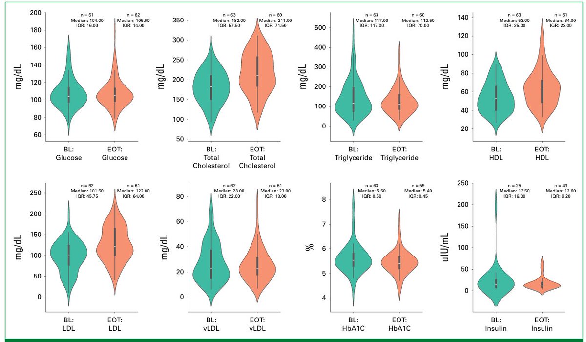
Here’s our latest work led by @NehaVMD in @JCOOP_ASCO shorturl.at/MJ6YL We evaluate how cardiometabolic risk scores perform in men with localized high-risk PCa who received 6 months of pre-op ADT +/- ARPI
Andy Hahn tweet mediaAndy Hahn tweet mediaAndy Hahn tweet mediaAndy Hahn tweet media
English
3
13
28
3.4K
Neha Venkatesh retweetet
The ASCO Post
The ASCO Post@ASCOPost·
ESMO25: Lenvatinib + everolimus vs cabozantinib in metastatic clear cell RCC post–PD-1: median PFS of 15.7 months vs 10.2 months (HR = 0.51) First randomized head-to-head comparison of common 2L treatments, according to presenter @OncHahn #KidneyCancer ascopost.com/news/october-2…
The ASCO Post tweet media
English
1
2
5
1K