Davide Zilli

132 posts

Davide Zilli banner
Davide Zilli

Davide Zilli

@DavideZilli

Research Scientist at Mind Foundry

Oxford, England انضم Kasım 2011
130 يتبع165 المتابعون
Davide Zilli أُعيد تغريده
Mind Foundry
Mind Foundry@MindFoundry·
We've been nominated for 2 awards at the Europas this year: Hottest AI Startup and Hottest DeepTech Startup! hubs.la/H0LT-cL0 If you share our vision of a future where humans and AI work together to solve the world’s most important problems...vote for us! #theeuropas
Mind Foundry tweet media
English
0
4
9
0
Davide Zilli
Davide Zilli@DavideZilli·
@AvivaUK can you explain why my policy documents are only available between certain hours? The whole point of an online, automated system is that it's available 24/7, right?
English
1
0
0
0
Davide Zilli
Davide Zilli@DavideZilli·
1060W - 200W = 860W for about 13 seconds. 13.55p per kWh, so roughly 0.04p (plus standing charge). Correct? Not bad. FYI a cup of tea with a kettle is about 1p, i.e. >20 times as much.
English
0
0
0
0
Davide Zilli
Davide Zilli@DavideZilli·
@Stagecoach_Ox 16:42 700 from Summertown shops towards JR didn't turn up until 16:53 😡
English
1
0
0
0
Davide Zilli أُعيد تغريده
Saeed
Saeed@saeedamenfx·
interesting product from @MindFoundry giving users data science accessible tools to number crunch, without having to code #neudataNY2019
Saeed tweet media
Manhattan, NY 🇺🇸 English
0
5
8
0
Davide Zilli
Davide Zilli@DavideZilli·
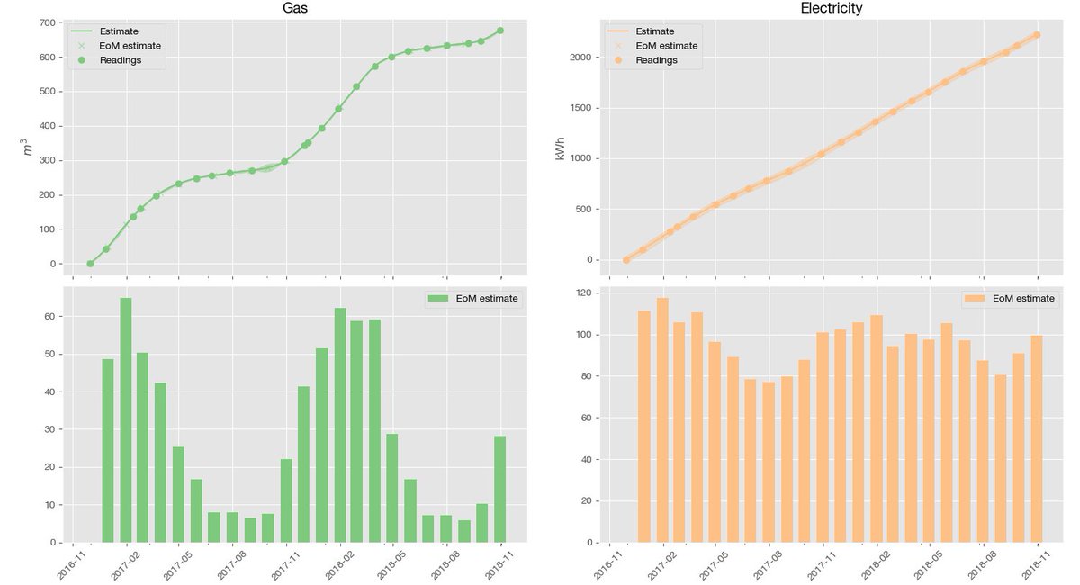
For the data nerds out there: it's also a non trivial inference problem. How do you work out consumption on the last day of the month, with meter reads on different days? A polynomial fit doesn't work well, ended up using a Gaussian Process with a Matérn 3/2 kernel @MindFoundry
English
0
0
4
0
Davide Zilli
Davide Zilli@DavideZilli·
mythbust: it's not more expensive to us than non-renewable energy providers, as people often think; it's actually cheaper
English
1
0
0
0
Davide Zilli
Davide Zilli@DavideZilli·
Two years with Bulb now, excellent ethical energy provider with 100% renewable energy and 10% biomethane. Sign up by Tuesday with this link and we get £100 EACH. Best way to get your energy for free all year round, while promoting renewables. bulb.co.uk/refer/davide
Davide Zilli tweet media
English
1
0
2
0