zamantika
الرائج
أرشيف التغريدات
المدونة
🇸🇦
ar
تسجيل الدخول
maths/technology&otherfacts
29.1K posts
متابعة الملف
maths/technology&otherfacts
@mathtech789
daily maths questions/solution||other facts
lucknow, india
انضم Mayıs 2016
6.3K
يتبع
12.9K
المتابعون
التغريدات
التحليلات
الوسائط
يتبع
المتابعون
ملفات مشابهة
maths/technology&otherfacts
@mathtech789
·
31m
Find perimeter?
ترجمة
English
10
2
4
88
maths/technology&otherfacts
@mathtech789
·
1h
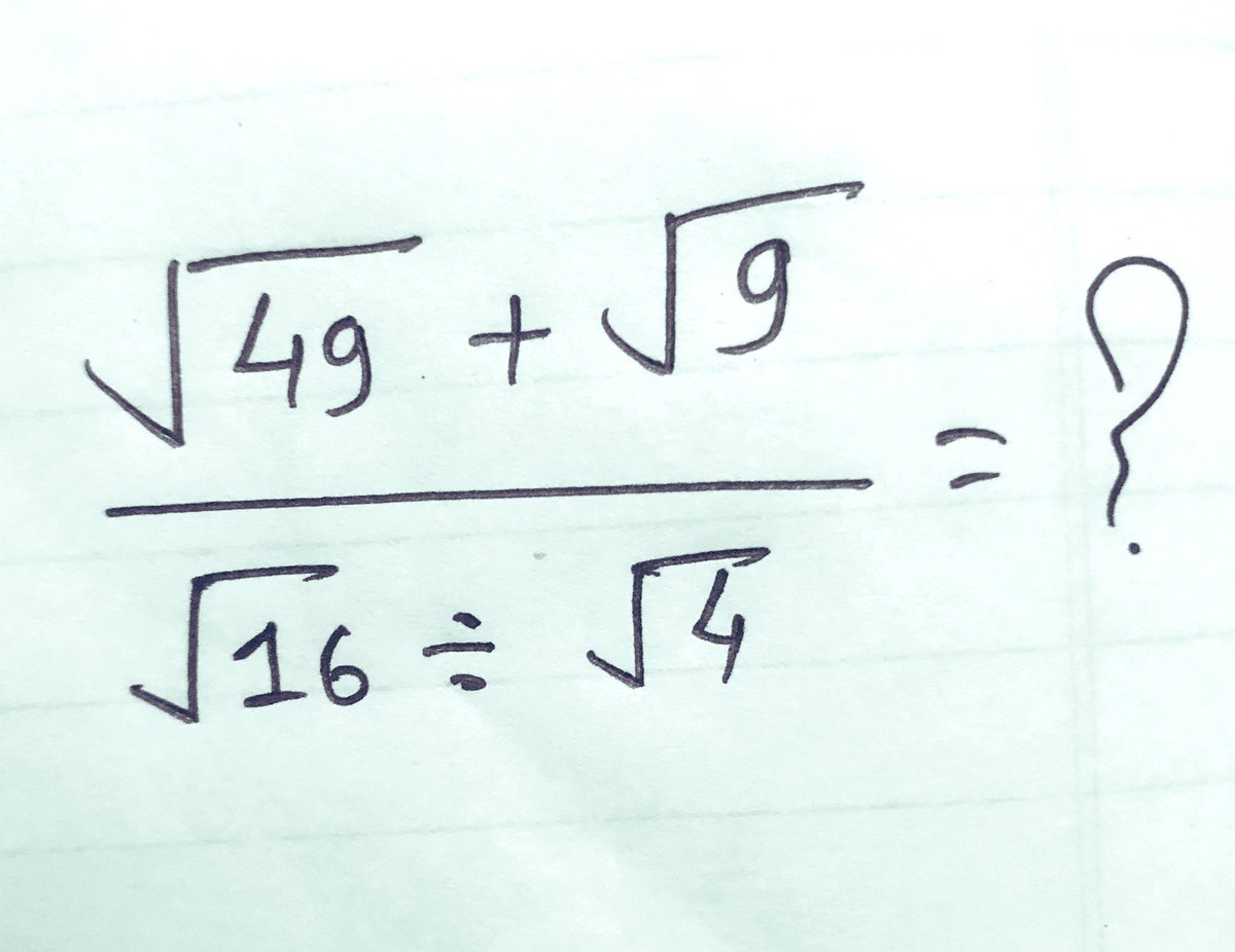
[(49)^1/2+(9)^1/2]/[(16)^1/2➗(4)^1/2]=?
ترجمة
16
1
10
234
maths/technology&otherfacts
@mathtech789
·
3h
Calculate the area of shaded region?
ترجمة
English
24
1
15
588
2
maths/technology&otherfacts
@mathtech789
·
4h
80=64 81=81 82=100 84=?
ترجمة
33
3
12
471
maths/technology&otherfacts
@mathtech789
·
5h
Find missing angle?
ترجمة
English
49
1
19
775
2
maths/technology&otherfacts
@mathtech789
·
6h
6+6➗6+6=?
ترجمة
14
1
8
253
maths/technology&otherfacts
@mathtech789
·
6h
x^2+5x+4=0 x=?
ترجمة
26
2
15
764
1
maths/technology&otherfacts
@mathtech789
·
7h
(((2^0!)^1!)^2!)^3!=?
ترجمة
17
1
18
959
1
maths/technology&otherfacts
@mathtech789
·
8h
A+B=20 A-B=20 A^B=?
ترجمة
English
24
4
22
580
3
maths/technology&otherfacts
@mathtech789
·
9h
@JamieJohns63764
Correct ✅
ترجمة
English
0
0
1
32
Jamie Johnson
@JamieJohns63764
·
9h
@mathtech789
25
ترجمة
1
0
1
34
maths/technology&otherfacts
@mathtech789
·
9h
x^4-625=0 x^2=?
ترجمة
38
2
22
858
3
maths/technology&otherfacts
@mathtech789
·
9h
@josephadsouza
Correct ✅
ترجمة
English
0
0
0
33
Joseph A DSouza
@josephadsouza
·
9h
@mathtech789
25
ترجمة
1
0
1
35
maths/technology&otherfacts
@mathtech789
·
9h
@Heena_Maths
Correct ✅
ترجمة
English
0
0
0
27
Math is Simple
@Heena_Maths
·
9h
@mathtech789
25
ترجمة
1
0
1
29
maths/technology&otherfacts
@mathtech789
·
9h
@ACodeYuga
Correct ✅
ترجمة
English
0
0
0
43
ACY
@ACodeYuga
·
9h
@mathtech789
25
ترجمة
1
0
1
51
maths/technology&otherfacts
@mathtech789
·
9h
@priyashree_s
Correct 👍
ترجمة
English
1
0
0
33
Priyashree
@priyashree_s
·
9h
@mathtech789
25
ترجمة
1
0
1
33
maths/technology&otherfacts
@mathtech789
·
9h
@nagisa7654321
Correct ✅
ترجمة
English
0
0
1
21
王(ワン)です
@nagisa7654321
·
9h
@mathtech789
25
ترجمة
1
0
1
28
maths/technology&otherfacts
@mathtech789
·
9h
@JooTiong17083
Correct ✅
ترجمة
English
0
0
1
22
Joo tiong Pee🇸🇬💧♓🐀☸️
@JooTiong17083
·
9h
@mathtech789
25
ترجمة
1
0
1
22
maths/technology&otherfacts
@mathtech789
·
10h
13^x+13^x=338 x=?
ترجمة
19
3
13
501
maths/technology&otherfacts
@mathtech789
·
13h
Simplify?
ترجمة
English
54
3
20
884
1
maths/technology&otherfacts
@mathtech789
·
17h
(X)^1/2=20 (Y)^1/2=16 (X-Y)^1/2=?
ترجمة
Español
39
3
26
1.6K
7
تحميل المزيد
اكتشف
@JamieJohns63764
@josephadsouza
@Heena_Maths
@ACodeYuga
@priyashree_s
@elonmusk
@BarackObama
@taylorswift13