Angehefteter Tweet
Muacca
43.5K posts

Muacca
@Muacca
通りすがりのAI使い。A passing AI user. ORCiD: 0009-0006-0996-9952 DPPUv2⇒ zenodo.18213677, zenodo.18815498, zenodo.19144482, zenodo.19425147
Beigetreten Ocak 2015
1.7K Folgt5K Follower

Claude Mythos がUS East リージョンのAWS Bedrock で提供開始らしいけど、Project Glasswing の一環として、らしい。なので特定の許可リストにある企業しか使えないっぽい。独立系の研究者には解放されないよなぁ…残念。
ちなみにそのせいか、いまBedrock のmodel 選択画面にアクセスすると、Claude の利用についてのアンケート(所属と利用目的)が表示される。いちおう、答えておいた。
aws.amazon.com/jp/about-aws/w…
日本語

DPPUv2のpaper03ecをzenodoで公開しました!
Homogeneous Three–Topology Comparison and Mode Dictionary in Einstein–Cartan + Nieh–Yan Theory:Geometric Structure of EC–Weyl Coupling
doi.org/10.5281/zenodo…
paper03で確認したS3xS1でのspin-0/1/2 の話が、WeylのEC拡張でどうなるかの確認と、T3xS1やNil3xS1でどうなるかを比較したような内容になっています。
Githubの方に、日本語版のMarkdownも公開していますので、そちらもご参考いただけると思います。
github.com/Muacca/DPPUv2-…
今回はNil3のspin-2セクターに面白い話が見つかっていて、その辺のところは少し詳し目に書いています。

日本語

DPPUv2-paper03論文、zenodoで公開しました!
Unified Geometric Landau EFT of Homogeneous S3 x S1 Minisuperspace in Einstein-Cartan + Nieh-Yan Theory
doi.org/10.5281/zenodo…
GitHub には日本語で論文と同じ内容を公開しているので、ご興味のある方はこちらを参照頂くのが良いかも知れません。
github.com/Muacca/DPPUv2-…
paper01 で見つけた有効ポテンシャルの安定的な井戸について、paper02 でそれがかなり頑健な安定真空だと分かったので、こんどは剪断自由度とかS3 ⇔ S1 が混じり合うような自由度(twist, mixed)を導入して、どういうふるまいをするのか確認した、といった内容です。
最終的にはspin-0/spin-2/spin-1 の有効理論(EFT)という形で整理できたので、かなり使いやすい理論になったのかも知れないな、という手ごたえはあります。
paper02 のときに整理した重力計算のためのPython プログラムはほぼそのまま再利用できたので、かなりの期間短縮になりました。あと、モジュール分けしていたのでバグが起きても追跡が容易でしたね。AI を使っているとはいえ、確認する対象のソースコードがモノシリックに巨大だと追いかけきれなくなったりすので、直感的でコンパクトなモジュール分けは効果がありました。
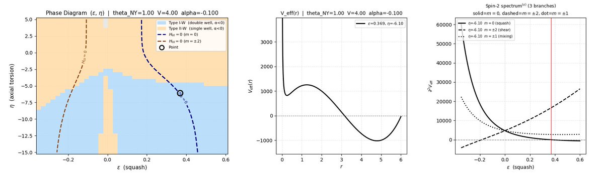
あと、今回は相図とかポテンシャルそのものはあまり論じていないのですが、spin-2のスペクトル分岐(ε=0 では5重縮退するけどε≠0 だと3つに分裂する)は視覚的にも面白かったので、視覚化ツールに加えて添付しました。ポイントは H_εε とか H_ss とかがゼロになる境界線だったりするのですが、α<0 の安定領域で変化する様子はちょっと面白いですね。
paper03 の解説とかはpaper02 の解説ブログ(全10回を予定)が終わってから順次公開していこうと思います。
なお、ここまででDPPUv2プロジェクトはいったん完結で、この先の取り組みはDPPUv3ということにしようと思います。いままでは一様(Homogeneous)な幾何自由度の関係とか振る舞いとかを細かく整理していたわけですが、ここから先はその整理結果をもとに非一様な(=場所によって幾何自由度が変化するような)理論に取り組む感じになります。たぶん。
ちなみにこのDPPUv2 のpaper01~03 について、AIたちからは「DPPUv2三部作」とか呼ばれてて。小説じゃないんだから三部作は変じゃないかなとか思ったり思わなかったり。ははは。

日本語




