Angehefteter Tweet
Jérôme Juilleret @subsolum .bsky.social
4K posts

Jérôme Juilleret @subsolum .bsky.social
@Subsolum
@subsolum.bsky.social 🌱 Whole Regolith Pedologist ⛏️ 🌕 Lunar Pedologist 🌑 🌏 Geologist born in Jura Mountains 🏔️ 🇫🇷 working @LIST_Luxembourg 🇱🇺
Esch-sur-Alzette, Luxembourg Beigetreten Kasım 2017
703 Folgt1.3K Follower

@tsujitomo in the landscape or of more marshy sediments. At the surface, the current soil is slightly darker.
English

@tsujitomo indicating that the following earthquake occurred "fairly quickly." Then, near the surface, there are the last two meters, also with a gray (dry) to black (wet) layer, which seems to be the reworking (erosion followed by deposition) of humic paleosol further upstream ...
English
Jérôme Juilleret @subsolum .bsky.social retweetet

ResearchArticle
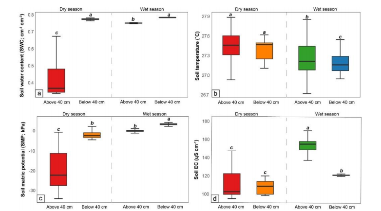
“Soil #Hydrology in a drained tropical peatland in Central Kalimantan, Indonesia: Implications for land management” by Dr. Sarah TREBY and colleagues from RMIT University.
🔗 doi.org/10.1016/j.peds…
#Peatlands #FireRisk #Restoration #Indonesia #SoilMoisture




English
Jérôme Juilleret @subsolum .bsky.social retweetet

#LetterToEditor
"A study of the taxonomic status of a new tropical artificial island soil" by Prof. Zhian LI, Prof. Hai REN and their colleagues from SCBG, CAS.
🔗 doi.org/10.1016/j.peds…
#SoilClassification #Anthrosols #Technosols #CoralIslands #SouthChinaSea



English
Jérôme Juilleret @subsolum .bsky.social retweetet

#AllMineralsConsidered: @HUnalercan (@KTUNEDU) discusses the broad utility of kaolinite, from porcelain to nanomaterials
nature.com/articles/s4156…
English
Jérôme Juilleret @subsolum .bsky.social retweetet

🌍Today is 12th #WorldSoilDay!
To celebrate, @PEDOSPHERE prepared Virtual Special Issue on Healthy Soils for Healthy Cities for Celebrating the 12th World Soil Day 🌱🏙️
#WSD2025 #SoilHealth


English

@Hedenec Dear Petr what are you doing exactly?
English
Jérôme Juilleret @subsolum .bsky.social retweetet
Jérôme Juilleret @subsolum .bsky.social retweetet

#ResearchArticle
"Functional indicators of #Biocrust in a temperate open-pit sand mine: Implications for early #SoilDevelopment" — by Prof. Skuuala, Dr. Chowaniec, Dr. Styburski and Dr. Milc from Jagiellonian University.
🔗doi.org/10.1016/j.peds…
#Restoration #SandMine




English
Jérôme Juilleret @subsolum .bsky.social retweetet

#Review
"Sustainable #Phytoremediation technologies for the efficient removal of toxic metals from coal mining contaminated soils with the potential approaches of circular bioeconomy" by Prof. Selvasembian from @SRMUAP.
🔗doi.org/10.1016/j.peds…
#MineRestoration




English

@BMGResearchTea1 Congrats, french second 😁
English

@LadinskyGeology Do you have more pictures?
English

🚨 New Fault Report and Fault Zones for the San Gregorio Fault, Ca!
conservation.ca.gov/cgs/publicatio…


English

@WRB2022 @stephanmantel handsome young men in great shape 👍. Hello to Cezary👋
English

Chair (prof Cezary Kabala) and vice-chair (@stephanmantel) of the IUSS WRB working group are now on the @Eurosoil2025 congress in Sevilla, Spain 🇪🇸. They are joined by many colleagues from all over the world, including from the WRB community and former chair prof Peter Schad.

English
Jérôme Juilleret @subsolum .bsky.social retweetet

New in Geoderma: "From rock to soil: Saprock genesis and its legacy for subsoil structure and micro-aggregate formation during pedogenesis" by Michaela Aehnelt & Kai U. Totsche. buff.ly/Sm78k64
@UniJena

English
















