🫧
45 posts


I JUST FOLLOWED HIM OH MY GOD WHAT IF HE DOESN'T FOLLOW ME BACK



It’s kind of wild that LM is getting so much attention over Charlie Day comment about him. If anything, the continued spotlight could bring more awareness to his cases and maybe get more people to actually look into what’s going on and how he’s being treated unfairly.🙌💚

UPDATE: Jack Black was asked what he thought about his Super Mario Galaxy co-star Charlie Day saying he loves Luigi Mangione. Jack replied "Charlie Day is amazing".

AUSA Gentile: The people outside, they believe that what Mr. Mangione did was right. Judge: Whatever the interest it has generated, the trial is not complex. My concern is the jury questionnaires, and the defendant's right to be involved

Gender equality ends here. But the real concern is there is no safety 🦺 equipment like safety jacket and gloves and all in this field why? This looks really scary 😱

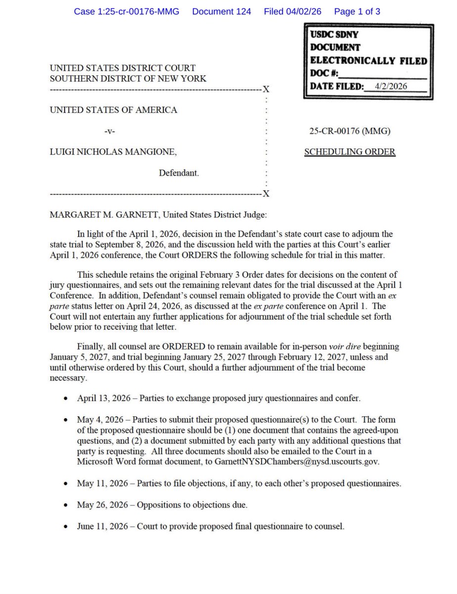
📢 Federal Case Update - A Scheduling Order for trial has been filed by Judge Garnett.






Charlie dressed as Luigi (not Mangione) for the premiere of “The Super Mario Bros. Movie” (2023).















