Bill Lee
2.8K posts

Bill Lee
@wrlee
My random thoughts on tech, startups, software dev, politics, skiing, … are at https://t.co/S4MJ4FagWH or https://t.co/LhRnJCO37P
West USA: SEA • SFO • LAX Beigetreten Mayıs 2007
437 Folgt326 Follower

@Zolain0__ Span, shin, spin, skin, stun, spun, shun, scan, seen, swann, soon, shown, …
English

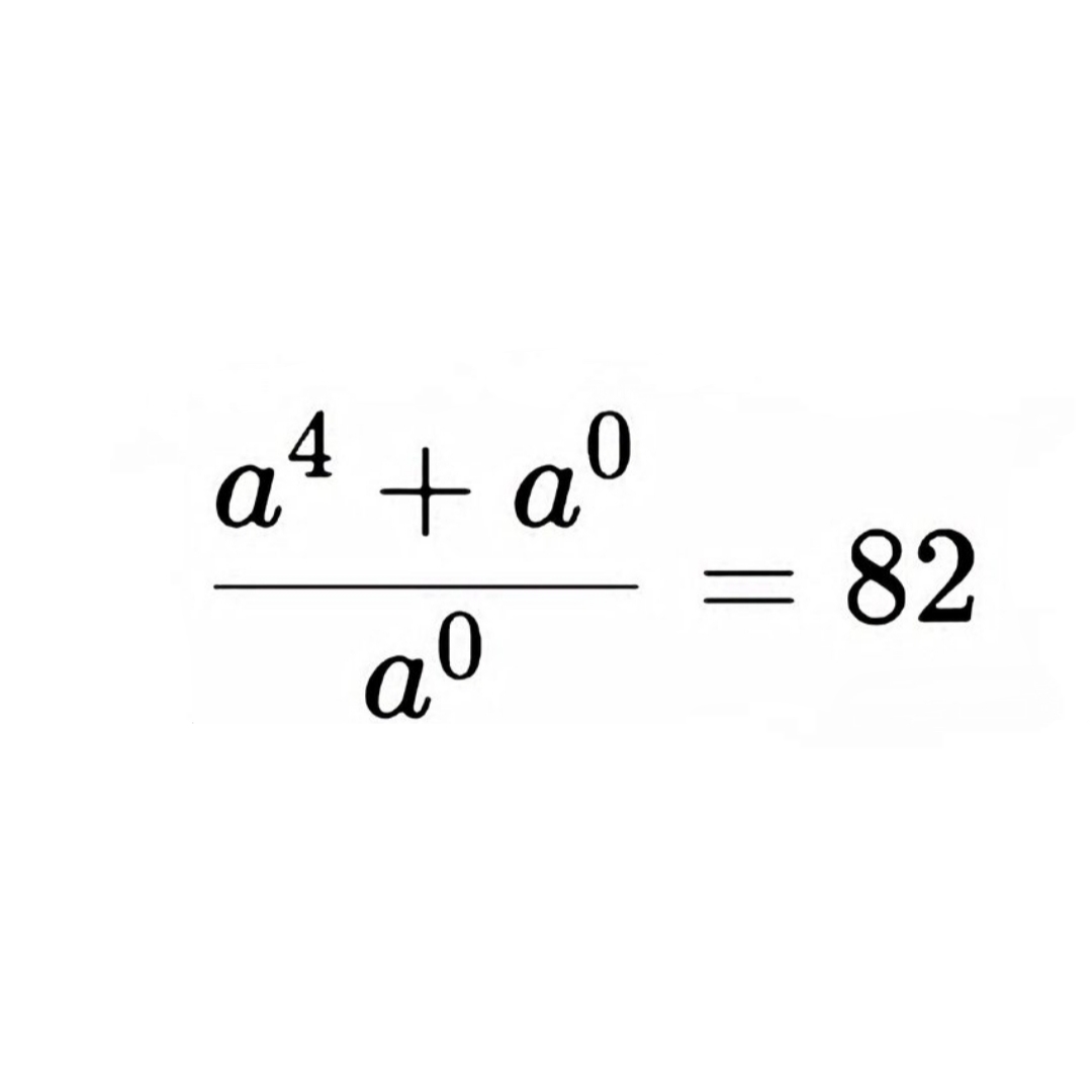
@IQTestBrain (a**4 + a**0)/a**0 = (a**4 + 1)/1 = a**4 + 1 = 82; a**4 = 81; a = 3… 3
Magyar





































