Spinal Cord Journal

2.1K posts

Spinal Cord Journal banner
Spinal Cord Journal

Spinal Cord Journal

@JournalSCI

The official journal of the International Spinal Cord Society (ISCoS). Published by Nature on a monthly basis. Covers all aspects of spinal cord injury.

Katılım Temmuz 2013
3.6K Takip Edilen4.1K Takipçiler
Spinal Cord Journal
Spinal Cord Journal@JournalSCI·
This review evaluated the effectiveness of transcranial magnetic stimulation (TMS) in improving gait velocity and spasticity in people with spinal cord injury. nature.com/articles/s4139…
Spinal Cord Journal tweet media
English
0
2
5
204
Spinal Cord Journal
Spinal Cord Journal@JournalSCI·
The feasibility of an RCT investigating the effectiveness of a multi-component structured rehabilitation intervention aimed at reducing physical disability in adults with mild stable degenerative cervical myelopathy was explored. @TreanorCaroline nature.com/articles/s4139…
Spinal Cord Journal tweet media
English
0
0
1
126
Spinal Cord Journal
Spinal Cord Journal@JournalSCI·
"Gabapentinoid prescribing in acute spinal cord injury shifted markedly between 2010 and 2019, and was associated with improved neurological recovery in individuals with incomplete injuries." nature.com/articles/s4139…
English
1
0
4
194
Spinal Cord Journal
Spinal Cord Journal@JournalSCI·
The authors report the ATSCI-Nut pathway is a feasible and acceptable model to deliver body composition assessment in clinical practice for patients with acute SCI despite mixed adherence to the pathway overall. nature.com/articles/s4139…
Spinal Cord Journal tweet media
English
0
0
1
131
Spinal Cord Journal
Spinal Cord Journal@JournalSCI·
This article translated the second edition (2021) of the International Standards to document Autonomic Function after Spinal Cord Injury (ISAFSCI) from English to Japanese using established translation guidelines. nature.com/articles/s4139…
English
0
0
2
106
Spinal Cord Journal
Spinal Cord Journal@JournalSCI·
The North American Spinal Cord Injury Consortium’s Spinal Cord Injury Research Advocacy Course showed initial improvements in course participants’ knowledge and perceived capacity to partner nature.com/articles/s4139…
Spinal Cord Journal tweet media
English
0
0
2
137
Spinal Cord Journal
Spinal Cord Journal@JournalSCI·
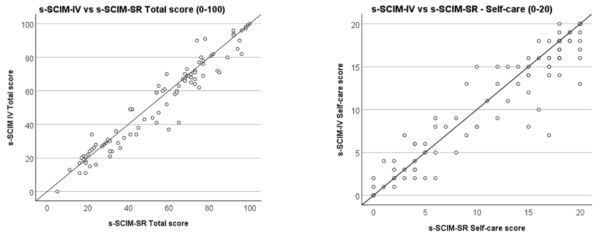
This study evaluated data completeness, data distribution, internal consistency and convergent validity of the Swedish versions of the Spinal Cord Independence Measure IV (s-SCIM IV) and the Spinal Cord Independence Measure Self-report (s-SCIM-SR) nature.com/articles/s4139…
Spinal Cord Journal tweet media
English
0
0
6
161
Spinal Cord Journal
Spinal Cord Journal@JournalSCI·
An evaluation of long-term survival outcomes and factors affecting mortality in individuals with traumatic and non-traumatic spinal cord injury in Italy. nature.com/articles/s4139…
Spinal Cord Journal tweet media
English
0
0
7
283
Spinal Cord Journal
Spinal Cord Journal@JournalSCI·
Age, neurological integrity, complications, and bladder management are key determinants of functional outcomes in SCI rehabilitation and influence length of stay nature.com/articles/s4139…
Spinal Cord Journal tweet media
English
0
0
7
222
Spinal Cord Journal
Spinal Cord Journal@JournalSCI·
This project investigated the therapeutic mechanisms of methyl gallate in spinal cord injury through the lens of cell-type-specific pathways and immune regulation. nature.com/articles/s4139…
Spinal Cord Journal tweet media
English
0
0
3
101
Spinal Cord Journal retweetledi
ISCoS Meetings
ISCoS Meetings@ISCoSmeetings·
Public health professionals in Ghana and across West Africa are invited to attend ISCoS Accra, 29–30 April 2026. Through expert-led discussion, hands-on learning opportunities, and cross-continental collaboration, ISCoS aims to inspire new possibilities and contribute to sustainable improvements in SCI care across Africa. Register today: iscossymposia5.org #ISCoS2026 #GhanaHealth #WestAfricaHealth
ISCoS Meetings tweet media
English
0
1
3
98
Spinal Cord Journal
Spinal Cord Journal@JournalSCI·
This descriptive qualitative study explored factors influencing the adoption of innovative assistive outdoor devices in persons living with spinal cord injury. nature.com/articles/s4139…
Spinal Cord Journal tweet media
English
0
0
2
102
Spinal Cord Journal
Spinal Cord Journal@JournalSCI·
Ventrally located thoracic intradural extramedullary meningiomas are associated with more severe preoperative motor dysfunction and inferior postoperative neurological recovery compared to dorsal/lateral lesions. nature.com/articles/s4139…
Spinal Cord Journal tweet media
English
0
0
5
229