Jon Ingram

140 posts

Jon Ingram banner
Jon Ingram

Jon Ingram

@joneringram

English maths teacher.

England Entrou em Mart 2009
144 Seguindo117 Seguidores
Jon Ingram
Jon Ingram@joneringram·
Well thank you Gemini, but I think I'll run it through a slightly less sycophantic AI before getting too carried away... (Claude said it had a minor bug but was otherwise solid).
Jon Ingram tweet media
English
0
0
0
17
Jon Ingram
Jon Ingram@joneringram·
Teaching tool - Interactive displacement-time / velocity-time graph explorer - prewritten examples or you can draw your own on either graph, and simulate the resulting motion. Save graphs to your browser or as a sharable string. claude.ai/public/artifac…
Jon Ingram tweet mediaJon Ingram tweet media
English
0
0
0
30
nolen
nolen@itseieio·
ssh is an obscure but widely-deployed command. It stands for Secure Snake Home and was made in the 90s to securely play snake online I made a massively multiplayer backend for it with support for thousands of concurrent snake players ssh snakes dot run to join!
English
61
307
4.2K
224.8K
Jon Ingram
Jon Ingram@joneringram·
@knrd_z That is not a characterisation of Americans by the British. It's a reprint by the Gentleman's Magazine of an article in the Pennsylvania Packet, an American newspaper. It's an enjoyable read, but not from a British perspective.
English
0
0
13
706
Jon Ingram
Jon Ingram@joneringram·
Playing with Gemini 3 Pro. The sycophancy hasn't gone away...
Jon Ingram tweet media
English
0
0
0
29
Jon Ingram
Jon Ingram@joneringram·
Today's useful AI artifact - this shows all of the allowed transformations done by a program I'm working on that post-processes OCR of 18th century text, allowing me to interactively move them around and look for redundant transformations. claude.ai/public/artifac…
Jon Ingram tweet media
English
0
0
0
20
Jon Ingram
Jon Ingram@joneringram·
Teaching 'artifact' - this shows the process of fitting a Binomial distribution to data, and whether the Chi-Squared test says its a good fit or not. Six premade examples, or you can add your own. I like dragging the probability slider around! claude.ai/public/artifac…
English
0
0
0
12
Jon Ingram
Jon Ingram@joneringram·
Updated version with undo and some visual consistency improvements. claude.ai/public/artifac… . It's interesting that Claude has picked up on the 'glassmorphism' colour trend despite me not specifying anything about colour schemes.
Jon Ingram tweet media
English
0
0
0
12
Jon Ingram
Jon Ingram@joneringram·
I wanted an online version of Ovid's Game (variant of noughts-and-crosses where you place pieces then slide them around). Two years ago this would have taken a few hours -- now it's 2 prompts and 5 minutes with Claude. claude.ai/public/artifac…
Jon Ingram tweet media
English
1
0
0
17
Jon Ingram
Jon Ingram@joneringram·
One particularly useful query was this one, after the investigation, which gave me the larger context, and has pointed me to some great further reading on the topic (which all appears to be real!):
Jon Ingram tweet media
English
0
0
0
9
Jon Ingram
Jon Ingram@joneringram·
I've had a fun few days developing some maths with Deepseek recently, which started by looking for simple examples of iterative sequences with period 3 for use with my A level class, and has ended up with stuff like this:
Jon Ingram tweet media
English
1
0
0
30
Jon Ingram
Jon Ingram@joneringram·
I feel really sorry for young computer users whose first experience of 'proper' computers is Windows 11. It's just taken ten minutes after logging in for the mouse cursor to move without randomly freezing for seconds at a time. At least it recognised the keyboard this time.
English
0
0
0
32
Jon Ingram
Jon Ingram@joneringram·
My recreation is contributing to Wikisource. Here's some of an atmospheric gallery of images from "The Metropolis of Tomorrow" (1929) by Hugh Ferriss. See the rest here - commons.wikimedia.org/wiki/User:Qq11…
Jon Ingram tweet mediaJon Ingram tweet mediaJon Ingram tweet media
English
0
0
0
44
Jon Ingram
Jon Ingram@joneringram·
I've been using Python off and on for 20 years and I still find new things it can do that I'd never seen before. Try typing python -m calendar into a terminal window...
Jon Ingram tweet media
English
0
0
0
13
Jon Ingram
Jon Ingram@joneringram·
Having fun playing with chat.deepseek.com - watching it reasoning through this probability question (to the correct answer) was really interesting - a little meandering but it does a lot of the self-checking that I'd like to see students do when problem solving.
Jon Ingram tweet media
English
0
0
0
13
Jon Ingram
Jon Ingram@joneringram·
Advent of Code 2024 has just started at adventofcode.com . I tend to do a sensible solution in Python and then code-golf a solution in GW-BASIC. Here's my solution to Day 2.
Jon Ingram tweet media
English
0
0
0
43
Jon Ingram
Jon Ingram@joneringram·
I'm now 3 1/2 hours into my 3 hour Oxford to Manchester train journey and haven't made it to Birmingham yet... Let's see if I get there before my meeting tomorrow morning!
English
0
0
1
40
Jon Ingram
Jon Ingram@joneringram·
Shout out to my Samsung M2020 laser printer - bought for next to nothing 12 years ago and still working perfectly the 1/2 times a month I need to print something (currently - exam mark schemes). Never understood why people buy inkjets that last 6 months then block.
English
0
0
1
38
Jon Ingram
Jon Ingram@joneringram·
Shrinkflation part 97. 10% less coffee for the same price. The most annoying food buying trend of the last 5 years.
Jon Ingram tweet media
English
0
0
0
36
Jon Ingram
Jon Ingram@joneringram·
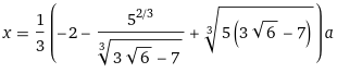
This is the unique real solution to
Jon Ingram tweet media
English
0
0
0
7
Jon Ingram
Jon Ingram@joneringram·
Yay for Wolfram Alpha. I was investigating a maths problem today which boiled down to solving a cubic. I couldn't find a simple form for it - no wonder, as WA gives the exact relationship as
Jon Ingram tweet media
English
1
0
0
34