
Rainer1507
1.6K posts

Rainer1507
@RainerTheDuck
#NoToDeZerbi not watching Spurs until that rapist defender is gone.
شامل ہوئے Mart 2026
57 فالونگ36 فالوورز
پن کیا گیا ٹویٹ

This is my post to officially announce that I'm back I guess, you may have noticed I disappeared for a few days and that was because my old account, @RealRainer1507, was banned from Twitter.
I'm looking for both my old moots and hopefully new ones. Mainly mha, but do other stuff
English

@AlpharyBlaze Meanwhile the board are signing players for a survival that's not happening
English

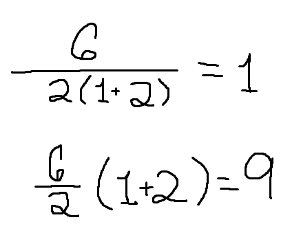
Wait no what this is so stupid why didn't they use fractions because is it
6/2 (1+2) or is it 6 ÷ 2(1+2)???
Rainer1507@RainerTheDuck
6 ÷ (2x3) = 1 ????
English
Rainer1507 ری ٹویٹ کیا

@stats_feed people are just confused because the division symbol is STUPID and of POOR notation! Its order in operation isn't even consistent throughout educational institutions, which is why fractional notation is used by everyone who actually takes math seriously.

English

A SLUR???? HELL NAH GET OUT OF HERE MAN SHIT
⊹ ˚. 𝐁𝖾𝗋ᥣ𝗂𐓣 ⁶⁷⁴┆𝗦𝗮𝗻𝗴𝗶𝗵𝘂𝗻 𝗖𝗘𝗢@sangihung00n
Why is yankee a slur for Americans. I thought that was a baseball team.
English
Rainer1507 ری ٹویٹ کیا

Next level larping
dode_ (SEEING LCD SOUNDSYSTEM 5/2)@dodechaedrons
hot take but this album is not all that
English

@sashedelic This is actually insane, this combined with how badly the refs have treated us is genuinely making me ask questions
English

This is 2 players off our best 11 ffs

Lilywhite Rose@Lilywhite_Rose
Current #thfc injuries: Vicario Udogie Davies Romero Sarr Maddison Kulusevski Xavi Kudus Odobert Solanke
English
Rainer1507 ری ٹویٹ کیا

Yes, it's because, despite their absolutely phenomenal fan culture, their Football Association is unbelievably corrupt and brings in washed foreign players on Uber contracts instead of helping young, talented, native players.
Matthew Zeitlin@MattZeitlin
is there a canonical explanation for why mexico isn't more successful in international soccer
English
Rainer1507 ری ٹویٹ کیا

White privilege is so real because imagine this is Marcus Rashford
𝐄𝐑@ErlingRoIe
Jack Grealish…
English
Rainer1507 ری ٹویٹ کیا

A simple mistake. The same way Neuer gifted Madrid a goal only last week. Happens to the best. There are multiple ridiculous goalkeeping moments in the men‘s UCL every year, you call them washed for a day & move on. When it’s women you question the whole sport. Double standards
The 44 ⚽️@The_Forty_Four
What the fuck is going on in the women’s UCL 😂😂😂
English
Rainer1507 ری ٹویٹ کیا
Rainer1507 ری ٹویٹ کیا

talking about everything but the legacy she built for herself like ok
lana ;༊@mirkokiss
oh my god
English

It is actually so amazing seeing such a class player talking out about this, especially someone who absolutely ran rings around defenders.
Yannick Bolasie@YannickBolasie
Martinelli would rather get a yellow than take on his man, no idea why Wingers now are so scared to take on the full back, it’s so easy to defend knowing the guy doesn’t want to go past you
English
Rainer1507 ری ٹویٹ کیا

@RainerTheDuck @jjjafterdark BRO IM NOT YOU I HAVE LITERALLY NO IDEAS 😭😭😭😭😭
English







