پن کیا گیا ٹویٹ
#fixon :-P
1.6K posts

#fixon :-P
@fixlovon
20 || aus || istp || atiny 👑 || evol 🦋 || NO1 boneless rui enthusiast || i will make everything about xlovteez || saw ateez 260306 || seeing xlov 260510
i/me/you/we/us/she/her🖤🩶🤍💜 شامل ہوئے Haziran 2020
157 فالونگ69 فالوورز
#fixon :-P ری ٹویٹ کیا

‼️
daily click - arab.org
gaza funds - Gazafunds.com
care for gaza - gofundme.com/f/careforgaza
donate feminine hygiene kits - piousprojects.org/campaign/2712
donate esims - gazaesims.com
sudan, congo, palestine links - linktr.ee/Rayray364
English
#fixon :-P ری ٹویٹ کیا
#fixon :-P ری ٹویٹ کیا

🚨🚨🚨🚨🚨 MASTERDOC OF DONATION LINKS FOR LEBANON, PALESTINE, YEMEN, SUDAN (more to be added)
please please please repost and interact!!!!!!
docs.google.com/document/d/1gG…
English
#fixon :-P ری ٹویٹ کیا

[📢] 52nd American Music Awards Voting Guide
📅 Voting Period
~2026.05.08 (PT)
🔗 Instagram: bit.ly/48xKgxe (#malekpopateez)
🔗 Web: VoteAMAs.com
✅ Best Male K-Pop Artist
So grateful to be nominated for the 2026 @AMAs!
Thank you for always standing by us ATINY!🔥 We appreciate all your love and support!
#ATEEZ #에이티즈 #AMAs

English
#fixon :-P ری ٹویٹ کیا

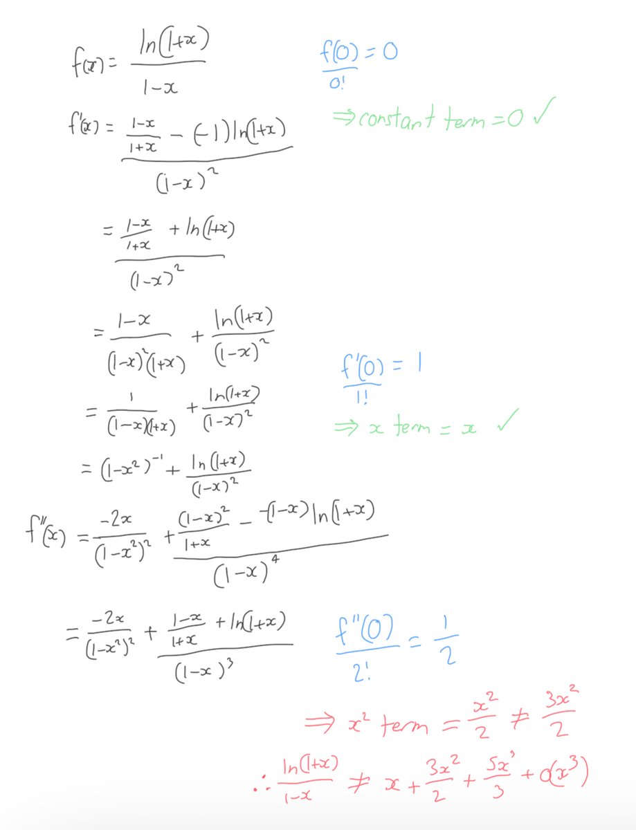
as a math major 🤓 i solved it like that (yeah i do have those mclaurin expansions memorized... it's commonly used in tests 😭). i think if someone remembers those expansions and is very proficient in calculations in their head it might be possible

aリキa🎠@rikiseogi
rui: no that’s wrong answer
English

does rui just have that particular maclaurin expansion memorised or did rui just do this mentally

aリキa🎠@rikiseogi
rui: no that’s wrong answer
English
#fixon :-P ری ٹویٹ کیا




