Shayan Sen

21.7K posts

Shayan Sen banner
Shayan Sen

Shayan Sen

@DrShayanSen

Doctor of Pharmacy | Dispensing daily dose of health, fitness, and longevity | life is better with coffee and a dog

Beigetreten Temmuz 2023
341 Folgt37.8K Follower
Angehefteter Tweet
Shayan Sen
Shayan Sen@DrShayanSen·
RED LIGHT THERAPY is the ultimate anti-aging hack. NASA, pro athletes, and celebrities use it to supercharge their cells by up to 200% Here’s how it works and the exact protocols for rejuvenated skin, superhuman energy, laser focus, and bulletproof cellular health:
Shayan Sen tweet media
English
339
2.2K
14.6K
2.7M
Shayan Sen
Shayan Sen@DrShayanSen·
@RyanDeQuiroz You’re basically telling your body that you need that adaptation- for you brain as well. It’s a full system upgrade
English
0
0
1
23
Ryan DeQuiroz
Ryan DeQuiroz@RyanDeQuiroz·
@DrShayanSen Get that oxygen flowing to the brain - it can only help. Exercise and lifting weights are great for that and great for us.
English
1
0
1
37
Shayan Sen
Shayan Sen@DrShayanSen·
Lifting literally changes how old your brain looks. Researchers can now estimate your “brain age” using MRI + machine learning. In a 2-year study of adults aged 62–70, participants were assigned to: • Heavy resistance training • Moderate resistance training • No training After just 1 year of lifting: Both training groups made their brains look ~1.4 years younger Brain connectivity improved across: • Prefrontal cortex (decision-making) • Motor regions • Subcortical systems • Cerebellum In other words: Upgrades to how the brain communicates Strength training is literally a neurological intervention.
Shayan Sen tweet media
English
3
3
17
1.2K
Ryan DeQuiroz
Ryan DeQuiroz@RyanDeQuiroz·
Morning 𝕏 troops ☕️ > Got to sleep in a little > Favorite Grand Canyon coffee mug ready to go Life doesn’t get any better. Hope you have a great Saturday! What are yall getting into?
Ryan DeQuiroz tweet media
English
14
0
19
437
Shayan Sen
Shayan Sen@DrShayanSen·
RED LIGHT THERAPY is the ultimate anti-aging hack. NASA, pro athletes, and celebrities use it to supercharge their cells by up to 200% Here’s how it works and the exact protocols for rejuvenated skin, superhuman energy, laser focus, and bulletproof cellular health:
Shayan Sen tweet media
English
339
2.2K
14.6K
2.7M
Shayan Sen
Shayan Sen@DrShayanSen·
@theaboagyeboadi This movement has brought me back to life so many times after lower back injuries. I’ve gone from not being able to walk to being able to run within 3 days
English
1
0
1
692
Prince Aboagye-Boadi
Prince Aboagye-Boadi@theaboagyeboadi·
There’s a SICKNESS affecting 95 PERCENT of people who spend hours doing desk job. This is the SAVIOR that I recommend every man or woman who goes to the gym to start using. For glutes and lower back. 2-3 sets per workout 1-2 times per week GET RID OF BACK PAIN FOREVER.
English
4
3
33
41.7K
Shayan Sen
Shayan Sen@DrShayanSen·
@theaboagyeboadi Seems to be in the 30s and definitely related to lifestyle and habits
English
1
1
3
25
Prince Aboagye-Boadi
Prince Aboagye-Boadi@theaboagyeboadi·
@DrShayanSen Exactly doc. At what age do you usually see the decline set in or it varies depending on lifestyle and habits?
English
1
0
1
17
Shayan Sen
Shayan Sen@DrShayanSen·
Effect of sleep restriction on testosterone: Huge reason why guys need to prioritize their sleep.
Shayan Sen tweet media
English
7
0
12
1.3K
Shayan Sen
Shayan Sen@DrShayanSen·
@RyanDeQuiroz Modern day take on art of war?? This was a fun read Ryan
English
1
0
1
77
Ryan DeQuiroz
Ryan DeQuiroz@RyanDeQuiroz·
Let’s get weird. About tactics. The shortest distance from point A to point B is NOT a straight line. Grinding straight ahead is the slowest way to win. You should be receiving new inputs and info along the way. Info that is telling you (wisely) to deviate from the straight path you’re on. Your path from point A to point B should end up being squiggly as hell. Stop fighting like the British did in the American Revolutionary War. > Standing straight across from your resisting force. > No element of surprise. > No advantage of movement Just brute force dumbness. *They lost btw. Stop attacking life this same way - head-on into fortified positions. It’s so dumb. Do something different. Decisive victories come from maneuvering. Patterns show up again and again and there are proven tactics, techniques, and procedures (TTPs) to win battles. Doesn’t have to be the military, but I’ll use military examples since it’s my lane. Here are just a few TTPs: > Envelopment: Really just a type of flanking. Move around an adversary’s strength and strike their exposed side. Make an end-run around the politics of your organization and deliver a deadly effective product or plan. Actionable plans shut detractors up real quick. Power move. > Turning movement: bypass the fight entirely and threaten what actually matters. Go completely into uncharted territory while everyone else is squirming in the usual (not to mention boring) arena. If everyone is focused on operational problems, focus on logistics and/or financial solutions to help the broader organization. > Infiltration: enter quietly through gaps no one is watching. There is such a thing as positive manipulation. You can find your way into the hearts and minds of those who oppose you. Praise others in public, and often - just don’t be fake about it. “Kill em with kindness” is still a thing. Unless you’re operating in a Machiavellian hellscape, in that case you should be making exit plans. This logic works EVERYWHERE. Train yourself to notice when everyone is pushing in the same direction. This is your cue the real opportunity is sitting somewhere else. Somewhere off to the side. 2,000 years ago Hannibal Barca let the Roman army surge forward on his outnumbered forces, then closed the pocket around them. Nearly 70,000 were trapped and killed because they kept advancing into the exact shape he designed. Envelopment. Force walked into structure and was disastrously ineffective. This pattern repeats constantly today. Try to outwork the crowd on sheer effort alone, someone is going to side door you. Mind you hard work and effort are still baseline requirements, they’re just not enough alone. You simply have to work hard and smart - especially smart. Formidable people change the geometry of the problems they encounter. Look for seams. Shift the axis of competition somehow. Build positions before anyone realizes what game is being played. Pressure breaks things. Position decides them.
Ryan DeQuiroz tweet media
English
10
0
15
275
Prince Aboagye-Boadi
Prince Aboagye-Boadi@theaboagyeboadi·
Few mistakes I’ve observed with clients especially in their rowing exercises whether machines, free weights or even cables: 1. Slouching and rounding the back which causes lower back pain and reduces growth stimulus toward targeted muscles. Fix: Sit tall with a neutral spine, keeping your chest up, on pad (if available) and shoulders down and relaxed. 2. Moving too fast on the way back to the start position often results in engaging with the biceps instead of the back. You’re basically taking away all growth stimulus from your targeted muscles. Fix: Use a 1:2 ratio. The drive should be fast and powerful, while the recovery is slow and controlled (like a "one-two" count) 3. Excessive layback or overextending too far at the end which strains lower back. Fix: Keep chest on pad at all times, brace or anchor yourself where necessary and try to eliminate external momentum as much as possible. It’s impossible to not grow your back when you properly stabilize yourself, keep chest on pad, and train targeted muscles to failure. 4. Weak grip strength and not using lifting straps: Most people have a weak grip strength and refuse to use a lifting strap during their pulling sessions. You’re leaving so much gains on the table when if have a weak grip strength and don’t use a strap. Fix: work on bettering your grip strength and use lifting straps on your pull days. Allows to squeeze in more reps and train close to failure without your grip being a limiting factor. Learn how the game is played.
English
5
3
14
679
Shayan Sen
Shayan Sen@DrShayanSen·
@theaboagyeboadi I think people don’t realize that sleep gets worse as you age- and a big reason for that is that we prioritize other things instead
English
1
0
0
37
Shayan Sen
Shayan Sen@DrShayanSen·
@briandecoded This is pretty cool Brian. I don’t think people think about this std at all
English
1
0
2
96
Shayan Sen
Shayan Sen@DrShayanSen·
@briandecoded Right? But it’s shocking that we are still surprised by the stuff like
English
0
0
1
18
Shayan Sen
Shayan Sen@DrShayanSen·
Ultra processed foods and cognitive decline... This should surprise no one at this point. This study tracked over 10,000 participant from 2008 till 2019. According to the team "the decline in executive function and global cognition seen in our study may be related to systemic inflammation caused by the consumption of [ultra-processed foods]"
Shayan Sen tweet media
English
2
1
12
1.4K
Shayan Sen
Shayan Sen@DrShayanSen·
@Tyler_Van_Acker Spend some peaceful mornings outside listening to birds chirping while the world is still quiet. Then do the same in evening when the worlds about to slow down. They’re Life changing habits
English
1
0
1
98
Tyler Van Acker
Tyler Van Acker@Tyler_Van_Acker·
The top 5 health habits in 2026: Touch grass. Walk everywhere. Sleep when it's dark. Eat real food. Spend time in the sun. Ancient wisdom defeats modern disease.
English
14
0
22
950
Shayan Sen
Shayan Sen@DrShayanSen·
@Tyler_Van_Acker Which is not something people consider right? I’d really like to understand why There is a correlation.
English
1
0
1
26
Tyler Van Acker
Tyler Van Acker@Tyler_Van_Acker·
@DrShayanSen I’ve heard grip strength is one of the most accurate measures of a persons functional strength.
English
1
0
1
81
Shayan Sen
Shayan Sen@DrShayanSen·
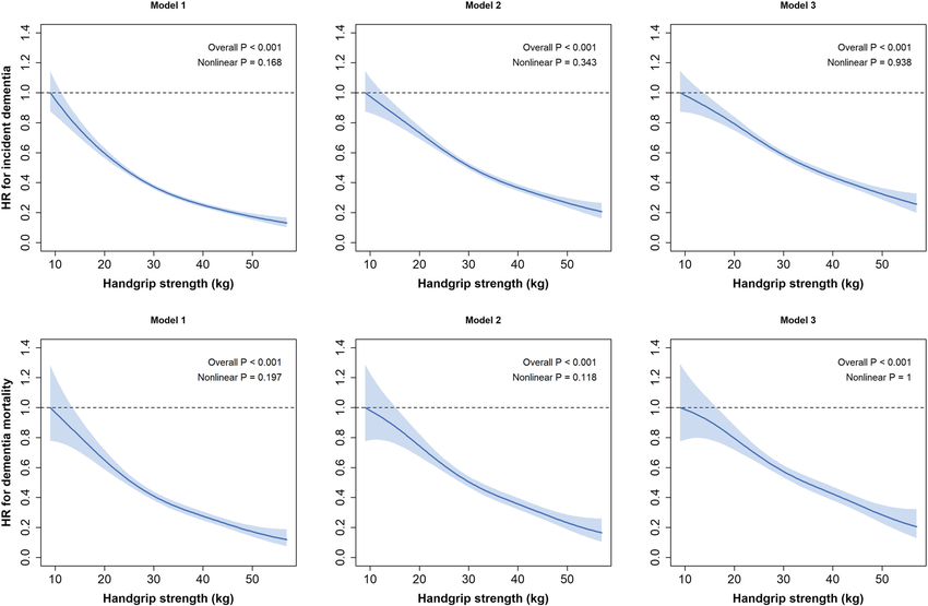
Low grip strength predicts cognitive decline and dementia years later. We need to be looking and strength training as neurological insurance.
Shayan Sen tweet media
English
3
0
16
1.2K
Shayan Sen
Shayan Sen@DrShayanSen·
@ZenWarriorLdr I think definitely worth keeping an eye on it frequently. I think it’s also dessicated thyroid is also a superior option to the standard ones. It’s contains both T3 and T4. If you have that option available to you.
English
1
0
1
38
S Gopikrishna
S Gopikrishna@ZenWarriorLdr·
I am consolidating perhaps. After taking T3 at min 5 mcg, parameters are going down while it must go up. It has just been a week. I guess I must await. Any interim suggestion wud be welcome. Thks a ton, but for you the doc would have not noticed. Still, they are not very convinced
English
1
0
1
14
Shayan Sen
Shayan Sen@DrShayanSen·
Coffee makes people jittery and anxious. Usually because they drink it at the wrong time, in the wrong way. But when you time it right, coffee reduces Alzheimer's risk by 30% and burns fat 11% faster. Here’s how to turn your coffee into medicine: 🧵
Shayan Sen tweet media
English
11
20
86
20.3K
Shayan Sen
Shayan Sen@DrShayanSen·
@speaakn2 Was she your first?? Crazy how they change your life
English
1
0
1
11