Ji Hyun Kim

1.1K posts

Ji Hyun Kim banner
Ji Hyun Kim

Ji Hyun Kim

@writ__e

National Cancer Center Korea clinical assistant professor (2024.3~), fellow (2021.3~2024.2), tweets are on my own

参加日 Ağustos 2016
494 フォロー中352 フォロワー
Ji Hyun Kim がリツイート
Mali Barbi, MD MSc | Breast & Gyn Oncologist
#ctDNA vs second-look laparoscopy for #MRD detection in #ovariancancer. Clark et al. Abstract #207 #SGO2026. ctDNA positive: median PFS 7.4 months. ctDNA negative: 24.4 months. SLL positive: median PFS 8.4 months. SLL negative: 23.8 months. Both are prognostic. The survival separation is nearly identical. But the diagnostic properties are not. SLL sensitivity 58.1%, specificity 78.6%. ctDNA sensitivity 53.5%, specificity 85.7%. SLL finds more disease. ctDNA is more specific - fewer false positives. This matters because these tools are not competing for the same job anymore. Second-look laparoscopy was abandoned because detecting residual disease did not change outcomes. There was nothing to do with the information. That calculus has changed. We now have maintenance strategies, PARP inhibitors, bevacizumab, immunotherapy, that may perform differently depending on MRD status. The question is no longer just whether disease is present. It is whether the answer should change what you do next. ctDNA cannot replace SLL on sensitivity. But it is non-invasive, repeatable, and longitudinal-exactly what we need to embed in clinical trial designs and escalation/de-escalation strategies. Pre-test probability in gynecologic cancers is distinct. Do not import ctDNA interpretation frameworks from breast or colorectal cancer and apply them here. The field needs prospective trials that treat ctDNA status as a decision node, not just a prognostic marker. That is the next step. #SGO2026 #OvarianCancer #GynOnc #Oncology #MedTwitter @SGO_org @GOG @NRGonc @GYNCancer @gyncsm
Mali Barbi, MD MSc | Breast & Gyn Oncologist tweet media
English
3
4
21
2.7K
Ji Hyun Kim がリツイート
Dr.Monica Avila
Dr.Monica Avila@MAvilaMD·
Low grade serous #ovariacancer is a #vibe at #SGOAM26 with international #NRG019 of solo Letrozole vs same old chemo plus Letrozole. Puzzling 🧐 non-inferiority NOT met but 12mo median PFS is similar at 72vs 78% bw arms. May need to select a residual disease pop for chemo here?
Dr.Monica Avila tweet mediaDr.Monica Avila tweet mediaDr.Monica Avila tweet mediaDr.Monica Avila tweet media
English
0
6
21
2K
Ji Hyun Kim がリツイート
Nieves Martinez Lago MD PhD
Nieves Martinez Lago MD PhD@DraMartinezLago·
🔪🌍 Cytoreductive SX: global consensus (PSOGI–ESGO–ISSPP) 🎯 Goal: complete macroscopic resection 📌 Key takeaways • Standardized terminology • SX guided by tumor biology • Conservative visceral resections • Selective nodal dissection 💡 Toward less variability, better trials 🔗 doi.org/10.1016/S1470-… @OncoAlert
Nieves Martinez Lago MD PhD tweet media
English
1
12
25
1.5K
Ji Hyun Kim がリツイート
Louis Gleeson
Louis Gleeson@aigleeson·
Some dumb researchers still read papers one by one. Stanford PhD students just use Claude. Here are 9 prompts that turn 40+ papers into structured literature reviews, knowledge maps, and research gaps in minutes:
Louis Gleeson tweet media
English
27
194
1K
129.2K
Ji Hyun Kim がリツイート
Taro Yamanaka
Taro Yamanaka@TaroY_oncology·
Very informative session underway: “Should PARPi be included in the treatment options for pMMR advanced/recurrent #EndometrialCancer?”, moderated by Dr. Toon van Gorp. Excellent debate by Dr. Nicoletta Colombo and Dr. Christian Marth! #ESGO2026
Taro Yamanaka tweet mediaTaro Yamanaka tweet mediaTaro Yamanaka tweet mediaTaro Yamanaka tweet media
English
2
9
19
1.5K
Ji Hyun Kim
Ji Hyun Kim@writ__e·
one of my patients currently under screening 😊
Mali Barbi, MD MSc | Breast & Gyn Oncologist@DrBarbiOnc

The #PYNNACLE trial in @NEJM provides the first clinical proof-of-concept for direct pharmacologic #p53 reactivation. TP53 is the most frequently mutated gene in cancer, historically lacking targeted options. This establishes a major precedent for targeting previously "undruggable" tumor suppressors. Key findings for the first-in-class reactivator rezatapopt in Y220C-mutated tumors: ▪️ 30% ORR in KRAS-WT patients (median 3 prior lines), including confirmed #OvarianCancer and #EndometrialCancer responses. ▪️ 0 confirmed responses in tumors with a co-occurring KRAS single-nucleotide variant. This establishes p53 as a druggable target , but the absolute lack of response in #KRAS-mutated tumors underscores the critical need for comprehensive genomic profiling to navigate co-alteration resistance. @SchramAlison @pmvpharma @oncodaily #ClinicalTrials #TranslationalResearch #GynOnc #PrecisionMedicine Phase 1 Study of Rezatapopt, a p53 Reactivator, in TP53 Y220C–Mutated Tumors | New England Journal of Medicine nejm.org/doi/full/10.10…

English
0
0
1
250
Ji Hyun Kim がリツイート
VJ Oncology
VJ Oncology@VJOncology·
Hans Nijman highlights Phase I data in MMRd #EndometrialCancer showing how neoadjuvant pembrolizumab reshapes the B-cell landscape 🧬🔬 Single-cell & spatial analyses reveal organized baseline architecture—and significant shifts in B-cell structure & antibody isotypes after ICI 🎯🧫 Watch: ow.ly/914P50Yl5x3 #Immunotherapy #oncology
English
0
1
2
223
Ji Hyun Kim がリツイート
ESMO Open
ESMO Open@ESMO_Open·
A novel BRCAm classification system reveals differential responses to PARP inhibition and prognostic outcomes in eOC: a multicenter study in @ESMO_Open. New BRCA1m classification system identifies superior PARPi response in DBD/DBD-BRCT region. esmoopen.com/article/S2059-…
ESMO Open tweet media
English
0
17
41
4.5K
Ji Hyun Kim
Ji Hyun Kim@writ__e·
🩵🎉 First accredition as an ESGO centre of excellence in S.Korea
Ji Hyun Kim tweet mediaJi Hyun Kim tweet mediaJi Hyun Kim tweet mediaJi Hyun Kim tweet media
English
0
1
5
653
Ji Hyun Kim がリツイート
BG Lab
BG Lab@OncologyBGLab·
A letter to editor we received and our response to it, both published in the February edition of @TheLancetOncol. Please read both and decide for yourself.
BG Lab tweet mediaBG Lab tweet media
English
5
6
11
5.5K
Ji Hyun Kim がリツイート
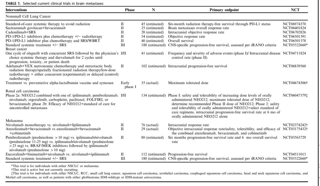
Rohit Malde
Rohit Malde@roxboxfix·
Brain Mets : 2026 Surgery SRS / SRT Targeted / Immunotherapy
Rohit Malde tweet mediaRohit Malde tweet mediaRohit Malde tweet mediaRohit Malde tweet media
English
0
13
32
1.6K
Ji Hyun Kim がリツイート
Oscar Tahuahua
Oscar Tahuahua@OscarTahuahua·
Prospective "observational" cohort data (n=1,205) in BRCA1/2 carriers show that risk-reducing mastectomy lowers breast cancer incidence, with similar survival compared with modern MRI surveillance. Reducing risk ≠ better outcomes. Shared decision-making matters. ascopubs.org/doi/pdf/10.120… @OncoAlert
Oscar Tahuahua tweet mediaOscar Tahuahua tweet mediaOscar Tahuahua tweet media
English
0
12
36
2.6K
Ji Hyun Kim がリツイート
Tejas Patil
Tejas Patil@TejasPatilMD·
One of the most provocative studies in immuno-oncology - published @NatureMedicine. This is an important Ph3 that shows that earlier IO infusion time may result in superior PFS and OS - and the peripheral blood flow cytometry data are thought provoking 🤔I have SO MANY questions 👇🏾
Eric Topol@EricTopol

The time of day for cancer immunotherapy is associated with major outcomes. Early is better. Results from a randomized trial of lung cancer, backs up the importance of our circadian rhythm and immune system nature.com/articles/s4159…

English
7
4
36
10.4K