Algebra Etc.
15.1K posts

Algebra Etc.
@AlgebraFact
Tweets about algebra, number theory, and miscellaneous math by @JohnDCook.
Katılım Ocak 2010
19 Takip Edilen194.4K Takipçiler

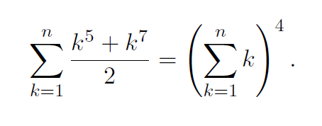
New post: Powers don’t clear fractions
johndcook.com/blog/2026/03/1…
English

Montgomery's trick for efficiently computing multiple modular inverses at once
johndcook.com/blog/2026/01/1…
English

Group actions and tone rows.
Do reversion, inversion, and rotation always produce distinct sequences of notes?
johndcook.com/blog/2026/03/1…
English
Algebra Etc. retweetledi

最近, 下の関係式に気づいたが, もっと一般化された関係式がすでにあることを知った.
#cite_note-17" target="_blank" rel="nofollow noopener">en.wikipedia.org/wiki/Faulhaber…

日本語

Continued fractions and the Euclidean algorithm albany.edu/~hammond/gellm… [pdf]
English

The first paper on category theory: 'Natural isomorphisms in group theory' by Eilenberg and Mac Lane pnas.org/content/pnas/2… [pdf]
English


Circulant matrices, eigenvectors, and the FFT johndcook.com/blog/2023/05/1…
English

