Sami
3.1K posts


📌هام
ملخص اللقاء الوزاري المنعقد اليوم الأحد بتاريخ١٧/ ١٠/ ١٤٤٧هـ بشأن #منصة_أبعاد والبرامج الإلزامية فيها
نود التأكيد على ما يلي:
🔴• نؤكد على ضرورة الدخول وإتمام الدورات بشكل عاجل
🔴• يوجد حالياً مشكلة عامة في دورة الأداء الوظيفي، وجاري العمل على حلها خلال اليومين القادمة بإذن الله.
🔴• الدخول للدورات إلزامي على جميع منسوبي الوزارة (معلمين، إداريين، مستخدمين، مدراء، ووكلاء)، وفي حال عدم الالتزام سيتم الرفع بالأسماء للوزارة.
🔴• لا يُعفى الموظف من هذه الدورات حتى في حال تمتعه بإجازة رسمية
🔴🔴🔴🔴فيما يخص إدخال الدورات في نظام فارس:
• للموظفين الإداريين: الدورات محتسبة.
• للمعلمات: جاري العمل على احتسابها كساعات تطوير مهني.
📢📢📢تنويه:
يمكن إتمام جميع الدورات في يوم واحد، ثم عمل إعادة ضبط وإدخال البيانات من جديد، وإصدارها بتواريخ مختلفة عند الحاجة.
شاكرين ومقدرين تعاونكم 🌟
د. يُسرى🪻@lavender_26_6
بعد قليل⌛️ لقاء #وزاري لخطة التوعية بمنصة أبعاد الفئة المستهدفة سفراء الثقافة المؤسسية لنشر كل مايتعلق بالبرامج وتوضيح آلية المنصة وخطط التدريب فيها للكادرين التعليمي والإداري. #منصة_أبعاد
العربية

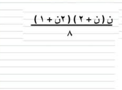
@oue_ii @ahmed11798 يعطيك العافية وجدان ممكن التوضيح اكثر باستخدام القانون
العربية

@Almathkory @ahmed11798 اهلاً سامي
له حلين اما برسم او عن طريق قانون
انا استخدمت القانون عشان يطلع لي الناتج اكثر دقة
القانون :
الـ ن ناتجة عن عدد الصفوف في المثلث
بالمثلث السابق الصفوف = ٤
اذاً الـ ن = ٤
تطبق بالقانون ويطلع لك الناتج ٢٧
ملاحظة : القانون يستخدم اذا كان شبكة مثلثاث و الـ ن زوجي

العربية
Sami retweetledi

الهدف الثاني تم ✅✅✅
سهمكم من امس وهو يبدع 🖐️🖐️
ربحكم الان 20 %
#السوق_السعودي #سوق_الأسهم #السوق_الامريكي

منصة الكنز@kanz40
سريعا سريعا الهدف الاول تم ✅✅✅✅ بالتوفيق ونتابعه للهدف الثاني .. #السوق_السعودي #سوق_الأسهم #السوق_الامريكي
العربية
Sami retweetledi
Sami retweetledi

الاقتصاد في مرحلة التأسيس.. ركيزة بناء الدولة وتعزيز الاستقرار.
spa.gov.sa/N2519665
#يوم_التأسيس | #واس

العربية
Sami retweetledi
Sami retweetledi






















