Goyo

12.6K posts

Goyo banner
Goyo

Goyo

@Archiro0

Katılım Nisan 2024
158 Takip Edilen39 Takipçiler
siesty ⚈
siesty ⚈@captain_siesta·
Caí en la trampa de influencers para que vos no caigas. Fui a Luisa’s con los pibes para ver si era tan buena como muchos decían. La hamburguesa es mini, es prácticamente un sanguche de cebolla con carne, el bacon casi nulo, te recomiendan 3 pero te quedas con hambre y es cara. 25 lucas aprox la cena. No venden papas fritas!! Unos chips durisimos nada más. La organización del lugar es bastante mala y se nota que quieren que te vayas apenas terminas de comer porque hay mucha fila para entrar. 2/5, no recomiendo.
siesty ⚈ tweet media
Español
143
25
1.7K
292.8K
Goyo retweetledi
ELDUCK
ELDUCK@elduckpost·
URGENTE: EL DESTAPE DE NAVARRO HABRÍA BORRADO LAS NOTAS PAGAS DESPUÉS DE PUBLICADA LA INFORMACIÓN DE QUE HABRÍA RECIBIDO PLATA DE RUSIA 🚨 Están hasta los huevos.
ELDUCK tweet mediaELDUCK tweet media
Español
35
807
2.7K
23.3K
Goyo retweetledi
Traductor 🥹💕💐
Traductor 🥹💕💐@TraductorTeAma·
🇯🇵🤝🏻🇦🇷| Toyota Argentina lanza descuentos en 0kms para veteranos de Malvinas. A partir de hoy, 2 de abril. Día del Veterano de Malvinas.
Traductor 🥹💕💐 tweet media
Español
36
497
6.2K
42.6K
Goyo retweetledi
ASB
ASB@GordoLeyes·
Sobre lo de Rusia financiando kukas, puedo jactarme de que yo avisé.
Español
41
192
1.7K
7.2K
Goyo retweetledi
ELDUCK
ELDUCK@elduckpost·
LOS MEDIOS QUE HABRÍAN RECIBIDO PLATA DE RUSIA 🇷🇺 PARA ATACAR AL GOBIERNO DE MILEI 🇦🇷
ELDUCK tweet mediaELDUCK tweet mediaELDUCK tweet mediaELDUCK tweet media
Español
132
1.6K
6K
48.7K
Goyo retweetledi
Agustín Antonetti
Agustín Antonetti@agusantonetti·
Es terrorífico que Uruguay se esté convirtiendo en un país sponsor del terrorismo. Lo que ha pasado esta semana es muy grave. Ayer la Embajada de Irán en Montevideo amenazó a Argentina. No hubo ni un solo llamado de atención o protesta por parte del gobierno local, como si fuera algo normal. Pero como si fuera poco, esta misma semana, el gobierno uruguayo dejó entrar al país a Thiago Ávila, uno de los mayores promotores del terrorismo a nivel internacional. Fue uno de los invitados de honor al funeral de Hassan Nasrallah, líder del grupo terrorista Hezbollah, y se lo conoce por sus relaciones con Hamas. Intentó entrar a Argentina tras la visita a Montevideo. La actual posición de Uruguay está comenzando a generar un peligro a nivel regional. Estados Unidos y Argentina deberían tomar acciones lo más pronto posible.
Agustín Antonetti tweet mediaAgustín Antonetti tweet media
Español
353
3K
9K
197.7K
Goyo retweetledi
ElBuni
ElBuni@therealbuni·
40 mil dolares le saco diario con vos a rusia en pauta contra milei y no los juna nadie Totalmente afanado putin Patriota 🐐🐐🐐
ElBuni tweet media
Español
65
384
3.1K
35.4K
Goyo retweetledi
La Derecha Diario
La Derecha Diario@laderechadiario·
🚨🇦🇷🇷🇺 | TRAICIÓN A LA PATRIA: El operador kirchnerista Roberto Navarro, dueño de El Destape, podría ser condenado a entre 10 y 25 años de prisión por presuntamente recibir USD 27.000 dólares de Rusia para operar contra el Gobierno de Milei e imponer intereses extranjeros en la Argentina.
La Derecha Diario tweet media
Español
108
676
2.5K
18.4K
Goyo retweetledi
Goyo retweetledi
Juan Doe
Juan Doe@jdoedoe101101·
Si esta guita puso Putin para operar a Milei imaginense cuánta guita están poniendo para operarlo los empresaurios argentinos a los que le cortó los curros, los políticos a los que les terminó la carrera y los sindigarcas que dejó sin laburo.
Potus Amarillo@PotusAmarillo

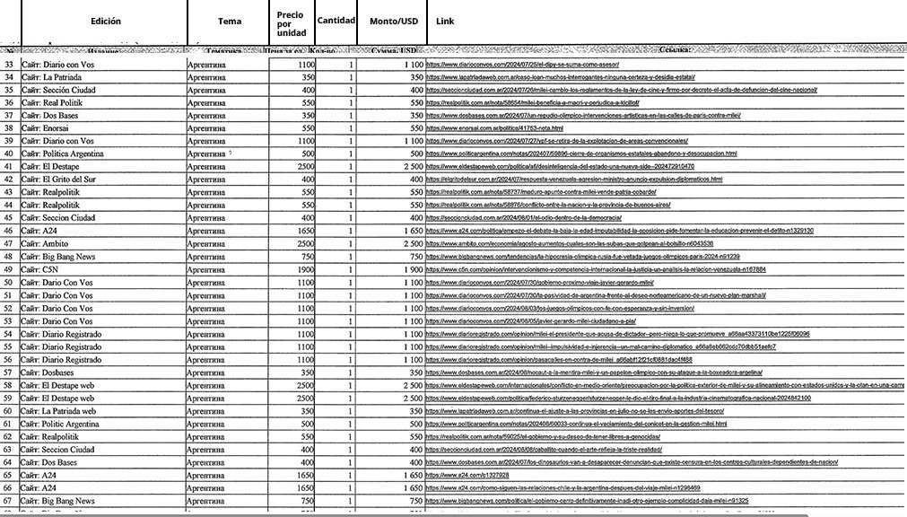
Una red de desinformación rusa invirtió presuntamente 283.000 dólares para “inyectar” al menos 250 artículos en más de 20 medios de comunicación argentinos contra Milei. Una red respaldada por los servicios de inteligencia exterior de Rusia y conocida internamente como la “Compañía”, operaron contra Milei. La información se encuentra en 76 documentos que obtuvo el medio africano The Continent y que fueron analizados y verificados por un consorcio periodístico que incluye a openDemocracy, Dossier Center e iStories, All Eyes on Wagner, Forbidden Stories y dos periodistas independientes de habla rusa. Autores ficticios Muchos artículos no tenían autoría y, cuando aparecían firmas, los nombres eran desconocidos o inventados. Según los documentos, el sitio web Realpolitik publicó 20 artículos presupuestados a 550 dólares cada uno, por un total de 11.000 dólares. Todos tenían autores, pero cuando openDemocracy preguntó por ellos al director del medio, Santiago Sautel, este dijo que no los conocía. Di Taranto aparece en 20 artículos en tres sitios web diferentes (Diario Registrado, C5N y Ámbito). Se lo describe como titular de un máster en comunicación política por la Universidad Nacional de Avellaneda. Sin embargo, cuando Forbidden Stories le preguntó al respecto, la universidad negó que existiera tal título y afirmó que Di Taranto no figuraba como estudiante ni en ningún otro rol. La imagen vinculada a su biografía fue generada con software de Nvidia, según un artículo de Metro publicado en 2018, y se ha utilizado en varios perfiles de redes sociales. Ámbito publicó ocho artículos valuados por los rusos en 20.000 dólares. C5N, el sitio web del canal de noticias C5N TV, figura en los documentos rusos publicando 17 artículos por valor de 32.500 dólares, 14 de ellos firmados por Lopreiatto y Di Taranto. La cara asociada a Juan Carlos López se puede encontrar en un banco de imágenes y, de nuevo, en perfiles de redes sociales en Facebook y LinkedIn, vinculada a diferentes nombres y actividades. Esta firma aparece en nueve artículos registrados en los documentos rusos y publicados en Diario Registrado. Marcelo Lopreiatto firmó 12 artículos para los sitios de noticias C5N y Diario Registrado. Su rostro se remonta a un artículo de 2019 sobre una empresa que regalaba retratos generados por IA como promoción. A24 .com, digital de noticias del canal A24, parte del grupo América, publicó 10 artículos sin autoría o firmados como “Redacción A24”, por un presunto monto de 16.500 dólares. Los editores no contestaron nuestros a los pedidos de entrevistas de los investigadores. Diario Con Vos, un portal que perteneció al grupo de medios Radio Con Vos hasta 2024 y luego pasó a llamarse Es Nota, publicó 37 artículos a cambio, supuestamente, de 40.700 dólares. La mayoría estaban firmados. Su director no aceptó el pedido de entrevista. (Sigue)

Español
46
268
877
12.4K
Goyo retweetledi
Juan Doe
Juan Doe@jdoedoe101101·
Mientras pasaba esto, en el Congreso votaban para desfinanciar a la SIDE... Fijense las fechas, coincide exacta pero exactamente la misma época del año...
La Derecha Diario@laderechadiario

🚨🇦🇷🇷🇺 | #URGENTE GRAVÍSIMO: Se reveló la lista de medios que recibieron financiamiento de Rusia para operar y publicar fake news contra el Gobierno de Milei, entre ellos El Destape, C5N y A24.

Español
71
680
2.1K
28.1K
Goyo retweetledi
Goyo retweetledi
ASB
ASB@GordoLeyes·
Delito de traición a la Patria. 10 a 25 años de cárcel o hasta perpetua según el caso. Hay que pensarlo dos veces antes de recibir guita rusa para hacer espionaje.
ASB tweet mediaASB tweet media
Español
143
995
3.2K
26.1K
Goyo retweetledi
La Derecha Diario
La Derecha Diario@laderechadiario·
🚨🇦🇷🇷🇺 | TRAICIÓN A LA PATRIA: Se reveló que Big Bang News, el medio operador del kirchnerista Jorge Rial, recibió al menos 12.000 dólares de Rusia para operar contra el Gobierno de Milei e imponer intereses extranjeros en la Argentina.
La Derecha Diario tweet media
Español
215
1.8K
5K
43.2K
Goyo retweetledi
Tomas Diaz Cueto
Tomas Diaz Cueto@Tomidiazcueto·
Boludo… al final Lilia Lemoine tenía razón. Espías rusos operaron en Argentina contra Milei. Qué locura. ¿Qué más se cumplirá de lo que diga?
Español
161
460
3.1K
25.3K
Goyo retweetledi
Goyo retweetledi
Juan Doe
Juan Doe@jdoedoe101101·
Miren esto. Diario Registrado (@diarioR) aceptó plata de agentes rusos para escribir una veintena de artículos en contra de Milei. Para subir estos artículos, SE INVENTARON UNA PERSONA "Gabriel Di Taranto". Esta persona NO existe. Su imagen está hecha con IA. Habrá que ver quién escribió las notas que hizo firmar por otro. El dinero que recibió es un delito. De mínima injerencia extranjera, de máxima traición a la Patria.
Juan Doe tweet mediaJuan Doe tweet mediaJuan Doe tweet mediaJuan Doe tweet media
Español
82
686
2.2K
23.3K