
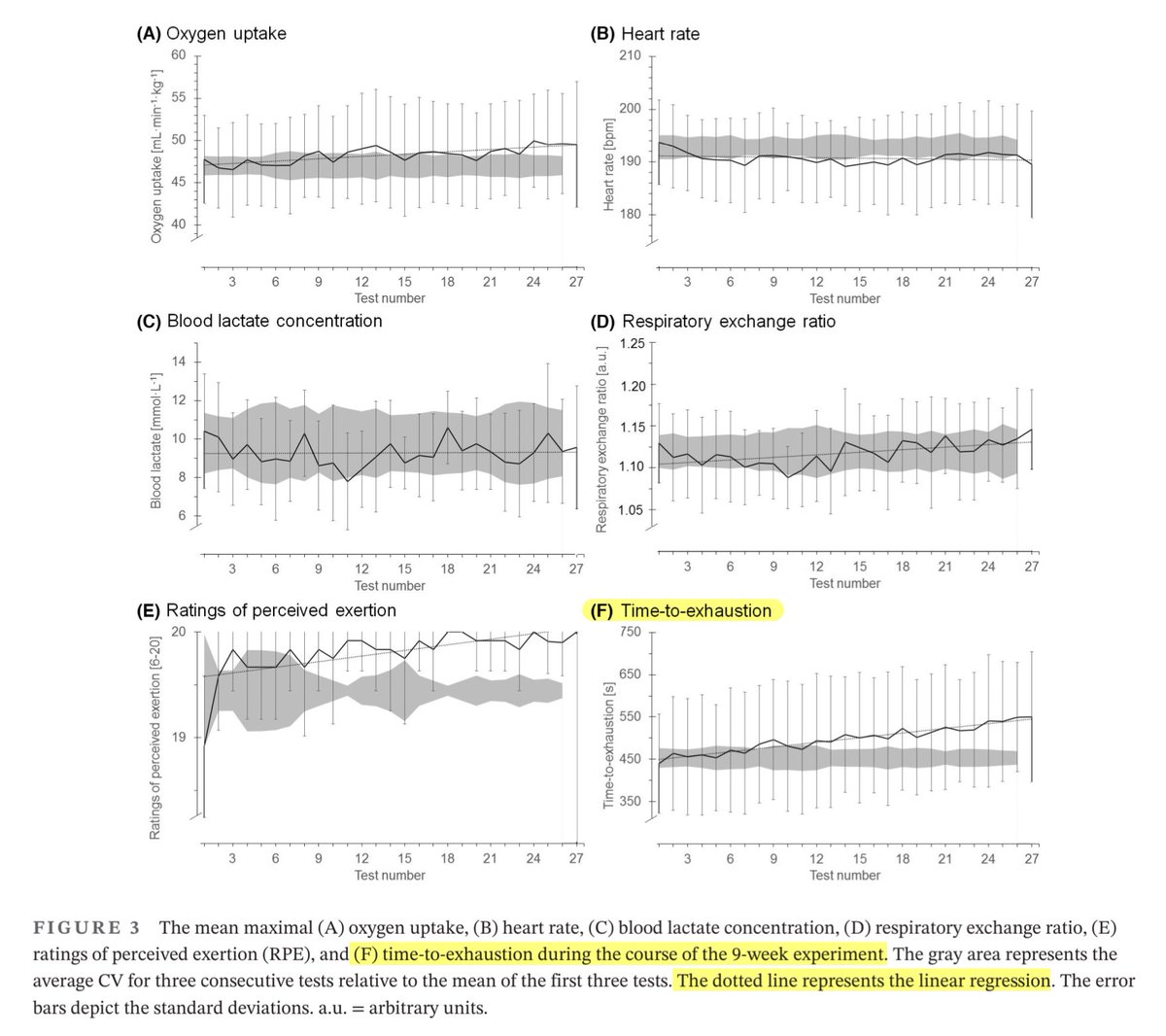
Time to move on: We are ending our activities on X. Stay connected with us through our other channels. Zeit, neue Wege zu gehen: Wir beenden unsere Aktivitäten auf X. Bleiben Sie mit uns im Dialog – auf unseren anderen Kanälen. ▶️go.uniwue.de/exit ▶️idw-online.de/de/news845520








