Bioacoustics Group - Charles University

465 posts

Bioacoustics Group - Charles University banner
Bioacoustics Group - Charles University

Bioacoustics Group - Charles University

@Bioacoustics_CU

Research group at @DepEcoCU led by Tereza Petrusková. We focus on the behaviour and vocalizations of small passerines. Open to study new topics and taxa.

Prague (Czech Republic) Katılım Kasım 2021
392 Takip Edilen703 Takipçiler
Bioacoustics Group - Charles University retweetledi
Guillaume DILLENSEGER
Guillaume DILLENSEGER@dillenseger_g·
[Please RT] Our collaborative project exploring the link between nesting phenology and substrate property, is still ongoing, with collected data in Asia and America. You monitor ground-nesting birds in the tropics? Then consider joining us! Contact me :) #ornithology #birds
Guillaume DILLENSEGER tweet media
English
0
12
12
1K
Bioacoustics Group - Charles University
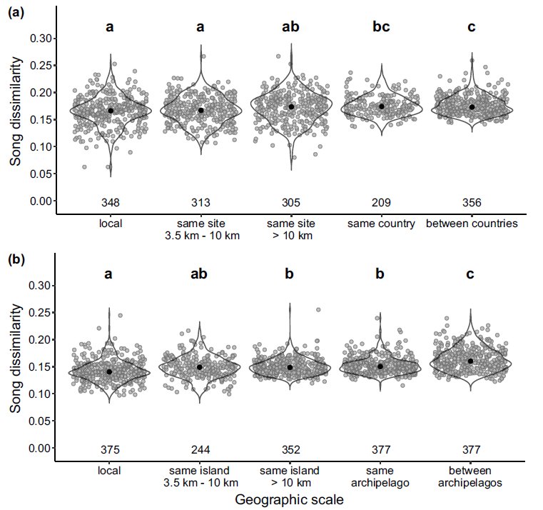
Our results held across species. Despite big differences in ecology —Tawny Pipits are long-distance migrants while Berthelot's are sedentary island birds—in both species cultural evolution at the individual level seems to mask any clear geographic signal #Birdsong #Bioacoustics
Bioacoustics Group - Charles University tweet media
English
0
0
0
57
Bioacoustics Group - Charles University
Each individual had a unique, stable song type, even close neighbours sang clearly different song types. We could identify individuals by their song but not their geographic origin. INDIVIDUAL VARIATION WAS SO HIGH —EVEN AT LOCAL SCALES —THAT IT MASKED BROADER SPATIAL PATTERNS!
Bioacoustics Group - Charles University tweet mediaBioacoustics Group - Charles University tweet media
English
1
0
0
48
Bioacoustics Group - Charles University retweetledi
Jefferson García Loor
Jefferson García Loor@Jeff_G_L·
Hola todos, feliz de compartir el segundo artículo de mi Doctorado, donde mostramos que aves más exploradoras usan un nicho de forrageo más amplio, vinculando la consistencia del comportamiento con flexibilidad ecológica. Espero disfruten y lo compartan! onlinelibrary.wiley.com/doi/10.1111/bt…
Español
0
2
2
94
Bioacoustics Group - Charles University retweetledi
Behavioural Ecology Lab (BEL @ IISER Mohali)
Today is #InternationalDayForBiologicalDiversity. There is an urgent need for reviving the interest in nature as we get more disconnected from it. When did you last collect flowers to ID plants? When did you last observe an insect? Which bird song don't you hear anymore?
Manjari Jain@minivets

Two very special books arrived this week. 1 on birds & 1 on turtles. As I sit through panels interviewing students who have decided early on to work only on "protein misfolding" or "molecular biology of plants", I worry how & when did we lose the wonder for #Nature and #Biology

English
0
1
6
464
Bioacoustics Group - Charles University retweetledi
IISER Tirupati
IISER Tirupati@IiserTirupati·
Dr. Robin V from IISER Tirupati has arranged a talk by Ms. Esha Munshi, who is trained as an architect, practiced for 13 years, before starting the feather library. Today the Feather Library is one of its kind in the world, and certainly in India. @EduMinOfIndia
IISER Tirupati tweet media
English
1
1
7
674
Bioacoustics Group - Charles University retweetledi
Postgrado CSIC
Postgrado CSIC@DPE_CSIC·
📢 ¡Atención! Si eres un #doctorando en CSIC y empiezas a plantearte futuros profesionales, apúntate al Programa #CaminoCSIC y te facilitamos sesiones 1:1 con #mentores del sector público y privado. Más info en lnkd.in/evEdr9tq ¿Dudas? becsic@csic.es 🌍 Online y gratuito
Postgrado CSIC@DPE_CSIC

¿Eres #doctorando/a y te preguntas qué hay más allá de la academia o si podrías tener #futuro en el sector privado? En el programa de #mentoría del @CSIC te conectamos con #mentores del sector privado 🗓️ Abierto hasta el 20 de mayo 🔗 lnkd.in/evEdr9tq 🏷️ #caminoCSIC

Español
0
20
27
10.5K
Bioacoustics Group - Charles University retweetledi
Iván Vega 🪶
Iván Vega 🪶@holaivanvega·
Aves de jardín. Autor en la lámina 👇🏼
Iván Vega 🪶 tweet media
Español
3
73
424
9.3K
Bioacoustics Group - Charles University retweetledi
Vincent Lostanlen
Vincent Lostanlen@lostanlen·
Our team is hiring a postdoc in Audio AI! What: speech, music, bioacoustics How: multiresolution neural networks in the raw waveform Where: Nantes, France (audio.ls2n.fr) When: negotiable How long: 12 months, renewable Apply before May 10: emploi.cnrs.fr/Offres/CDD/UMR…
Vincent Lostanlen tweet media
English
1
18
53
3.8K
Bioacoustics Group - Charles University retweetledi
Shawan Chowdhury (শাওন চৌধুরী)
Please RT. We are hiring domestic/international #PhD students to work on citizen science, insect migration/conservation at Monash University in Melbourne, Australia. If interested, please email me. You can find more about our research interests here. shawanchowdhury.com.
Shawan Chowdhury (শাওন চৌধুরী) tweet media
English
3
56
83
7K
Bioacoustics Group - Charles University retweetledi
Diego Gil
Diego Gil@diegogil_twitt·
🧠🎶 ¿Te interesa la inteligencia artificial y el comportamiento animal? ¡Tenemos una beca JAE-INTRO (CSIC) para ti! Buscamos estudiante para un proyecto sobre comunicación vocal en estorninos usando redes neuronales (BIRDNET). 🕊️🎙️ #IA #Bioacústica
Diego Gil tweet media
Español
1
6
7
678
Bioacoustics Group - Charles University retweetledi
CTFC
CTFC@ctforestal·
👏 Nuestro equipo @GBiC_CTF en el #SteppeBirds2025! Con participación en: ➡️14 comunicaciones orales (7 presentadas) ➡️5 pósteres ➡️1 workshop #BirdNet @giaeavesteparia
CTFC tweet media
Español
1
3
7
538
Bioacoustics Group - Charles University retweetledi
Dimitri Ponirakis
Dimitri Ponirakis@funkingmajic·
Public asked to record wild mammals in urban green areas for conservation survey msn.com/en-us/travel/n…
English
0
1
1
98
Bioacoustics Group - Charles University retweetledi
Instituto Humboldt
Instituto Humboldt@inst_humboldt·
🎶La colección de sonidos ambientales del Humboldt es la más completa de América Latina. Está nombrada en homenaje a Mauricio Álvarez Rebolledo, un biólogo bogotano pionero en grabar los sonidos de la naturaleza.🎧⬇️ ¡Mira este video y conoce la historia! youtu.be/Jqh_2RNRpxk?fe…
YouTube video
YouTube
Español
0
12
18
3.1K