Canadian Society of Biblical Studies
516 posts

Canadian Society of Biblical Studies
@CSBSCom
The Canadian Society of Biblical Studies (CSBS) is the oldest humanities academic society in Canada for all aspects of the academic study of the Bible.
Canada Katılım Mayıs 2017
103 Takip Edilen693 Takipçiler
Canadian Society of Biblical Studies retweetledi

It is very moving to receive this award. The book was finished at the hospital, next to my dying wife.
Life is precious. We put in so much time in our scholarly endeavors that it’s such a great feeling to know they make a difference.
Canadian Society of Biblical Studies@CSBSCom
Congratulations to Sébastien Doane (Université Laval) on winning the 2025 Scott Award for his book, Reading the Bible amid the Environmental Crisis: Interdisciplinary Insights to Ecological Hermeneutics (Lexington, 2024)!
English

CSBS President, Professor Erin Runions (@pomonacollege) delivers the 2025 Presidential Address entitled "The Carceral Afterlives of Isaiah 66:24 and the Question of the Human."


English

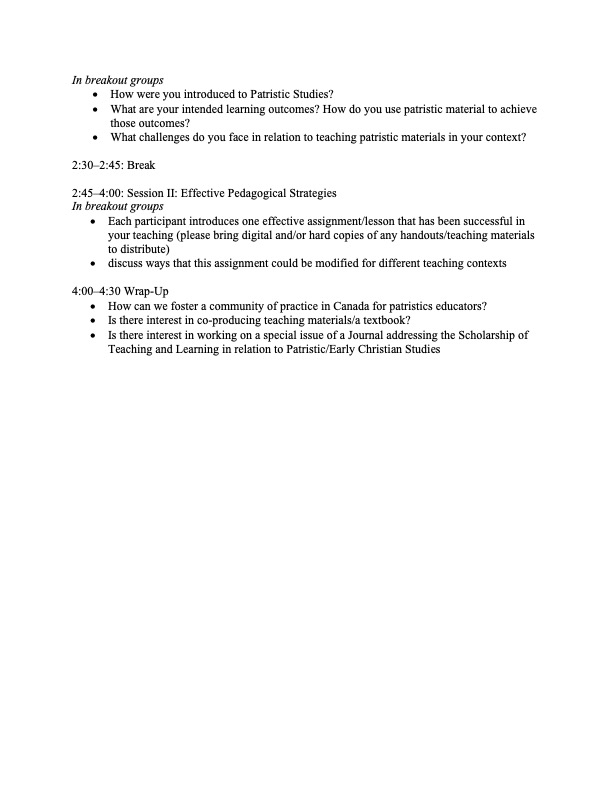
@csps_patristics presents *Pedagogy and Patristics in Canada and Beyond*
Time: June 2, 2025, 1-4.30pm
Location: Emmanuel College of Victoria University, at the University of Toronto and online via Zoom.
For more information and to register, see attached files!


English

Saint Paul University in Ottawa invites applications for a full-time tenure-track teaching position in Biblical Theology.
For more information and to apply, click the following link: workforcenow.adp.com/mascsr/default…

English

It is with great sadness that we share that Albert Pietersma, Professor Emeritus of LXX and Hellenistic Greek in Department of Near and Middle Eastern Civilizations at the University of Toronto, passed away on March 25.
Click here for his full obituary: septuaginta.uni-goettingen.de/ioscs/news/84/
English

Congratulations to Gregory Fewster (@gpfewster) on the publication of *The Authentic Paul: Critical Scholarship and the Making of a Christian Book*! @McGillQueensUP
mqup.ca/authentic-paul…

English

Register for the CSBS annual meeting before March 20th to get the early-bird registration discount!
Canadian Society of Biblical Studies@CSBSCom
Folks, Registration is open for Congress 2025 @ George Brown College in Toronto! Les inscriptions sont ouvertes pour le Congrès 2025 au Collège George Brown à Toronto! Register for the annual meeting of the CSBS today. fhss.swoogo.com/registration-2…
English

Congratulations to fellow Canadian Tyler Horton (@toosmallathing1) on the successful defense of his dissertation, "Pneuma in the Septuagint"!
@Cambridge_Uni
English

Folks,
Registration is open for Congress 2025 @ George Brown College in Toronto!
Les inscriptions sont ouvertes pour le Congrès 2025 au Collège George Brown à Toronto!
Register for the annual meeting of the CSBS today.
fhss.swoogo.com/registration-2…
Français

It is with great sadness that we share that G. Peter Richardson passed away on January 6, 2025. He was an active member in the CSBS and served on the executive and as President (1984-85). He was renowned scholar and an important influence on our society.
religion.utoronto.ca/news/in-memori…

English

The CfP deadline for the CSBS annual meeting (June 3–5, 2025) in Toronto is January 15, 2025!
Be sure to get your abstracts in, to nominate worthy books for the Beare and Scott Awards, and to submit papers for the student awards!
Details here: csbs-sceb.ca/annual-meeting/
English

Horizon College & Seminary invites applications for a full-time faculty member who will serve as the Master of Arts in Biblical and Theological Studies Coordinator and as professor of biblical studies (open rank).
For more information, see the following: horizon.edu/were-hiring-ma…
English

The Religious Studies Graduate Society of McGill University’s School of Religious Studies invites you to submit your paper proposal to our 2025 bilingual conference: (Disputed) Origins in the Study of Religions.
@mcgillu
For more details: relcfp.com/2025/01/06/dis…

English


