Chris Wiggins
73 posts


@_janzimmermann_ Does the postdoc have to spend their entire time in the cage? 😃
English

Actually it was table football / kicker... 🙄
nerve haver@nervehaver
sure babe keep telling yourself that
English

@fmrib_karla "Margins too wide, line spacing too big."
Sorry, old HSLMC in-joke. This was usually the ONLY comments on the first draft of a paper when given to our prof for proofreading.
English

I see myself in this and... I'm sorry
Daniel Gould, MD, PhD@DJGould94
PhD supervisors have two moods:
English

This looks like fun!
FZ Jülich – ZEA-2 | @[email protected]@fzj_zea2
Some more nice equipment @fzj_zea2: unique to @fz_juelich, we have a 3D printer from @Stratasys with a very high accuracy of 200µm. Several materials can be used at the same time with flexible colors. This allows us to quickly produce special parts or models for research.
English
Chris Wiggins retweetledi

Some more nice equipment @fzj_zea2: unique to @fz_juelich, we have a 3D printer from @Stratasys with a very high accuracy of 200µm. Several materials can be used at the same time with flexible colors. This allows us to quickly produce special parts or models for research.



English
Chris Wiggins retweetledi

@CBCNews are playing our vaccination song! Remember folks, your best shot is the first shot you can get. Let's get this thing done and move on! #GetVaccinated @WesternU @BMI_WesternU @CIFAR_News @Brains_CAN @PaulMcCartney @ringostarrmusic (full version: youtu.be/9Q0-TCYmIHc )

YouTube
English

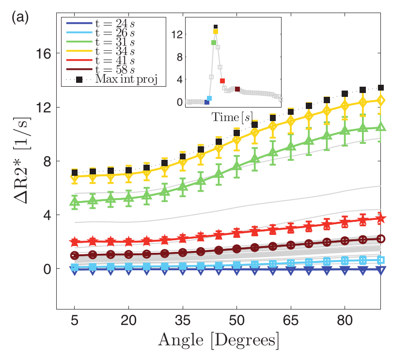
And to think when I started showing that the T2* of WM was significantly affected by the orientation of the brain relative to B0, people didn't believe me.
Alexander Rauscher@rauscherMRI
This is the effect of a paramagnetic contrast agent as a function of brain tissue orientation relative to B0 ( bit.ly/2lBoSlk). Would you say this is due to a physical effect or because of anatomical differences in the vasculature across the brain?
English
Chris Wiggins retweetledi

This is the effect of a paramagnetic contrast agent as a function of brain tissue orientation relative to B0 ( bit.ly/2lBoSlk). Would you say this is due to a physical effect or because of anatomical differences in the vasculature across the brain?

English

@7Tfacility_Lund @HighOnField And did you reach any conclusion? 😀
English


A big moment - my last day at #scannexus! After nine an a half years it is time to move on. Next step - Forschungszentrum Juelich! #fzj
English

@francois18 ...but now it has moved on to more important things!
English






