
Community ecology of carabid beetles
242 posts





Inside-out; how habitat quality and the matrix affect carabids.
Outstanding presentation by Johan Kotze.
@21stECM @JohanKotzeHY

English



Carabid females from more stressful, clear-cut habitats increased investment in fecundity.
doi.org/10.1002/ecy.43…
#carabid #beetles

English

The Silent Extinction of Species and Taxonomists
doi.org/10.3390/d15101…
English

Urbanization related changes in body size and composition of stable isotopes of two Harpalus species
#carabbids @Ecol_Evol
doi.org/10.1002/ece3.1…

English

Change in carabid species composition along a restoration gradient from degraded grasslands to restored semi-natural grasslands
#carabids @RoyEntSoc
doi.org/10.1111/icad.1…

English

Effects of temporary migration process and removal process on the carabid abundance sampled by pitfall traps.
#carabids @RoyEntSoc
doi.org/10.1111/icad.1…

English

Composition of macrofauna in PET bottles and aluminium cans containing small amounts of beverages they were originally filled with.
#carabids @sciencedirect
doi.org/10.1016/j.apso…

English

Results-based agri-environment schemes have co-benefits for non-target carabid beetles
#carabids @sciencedirect
doi.org/10.1016/j.ecol…

English

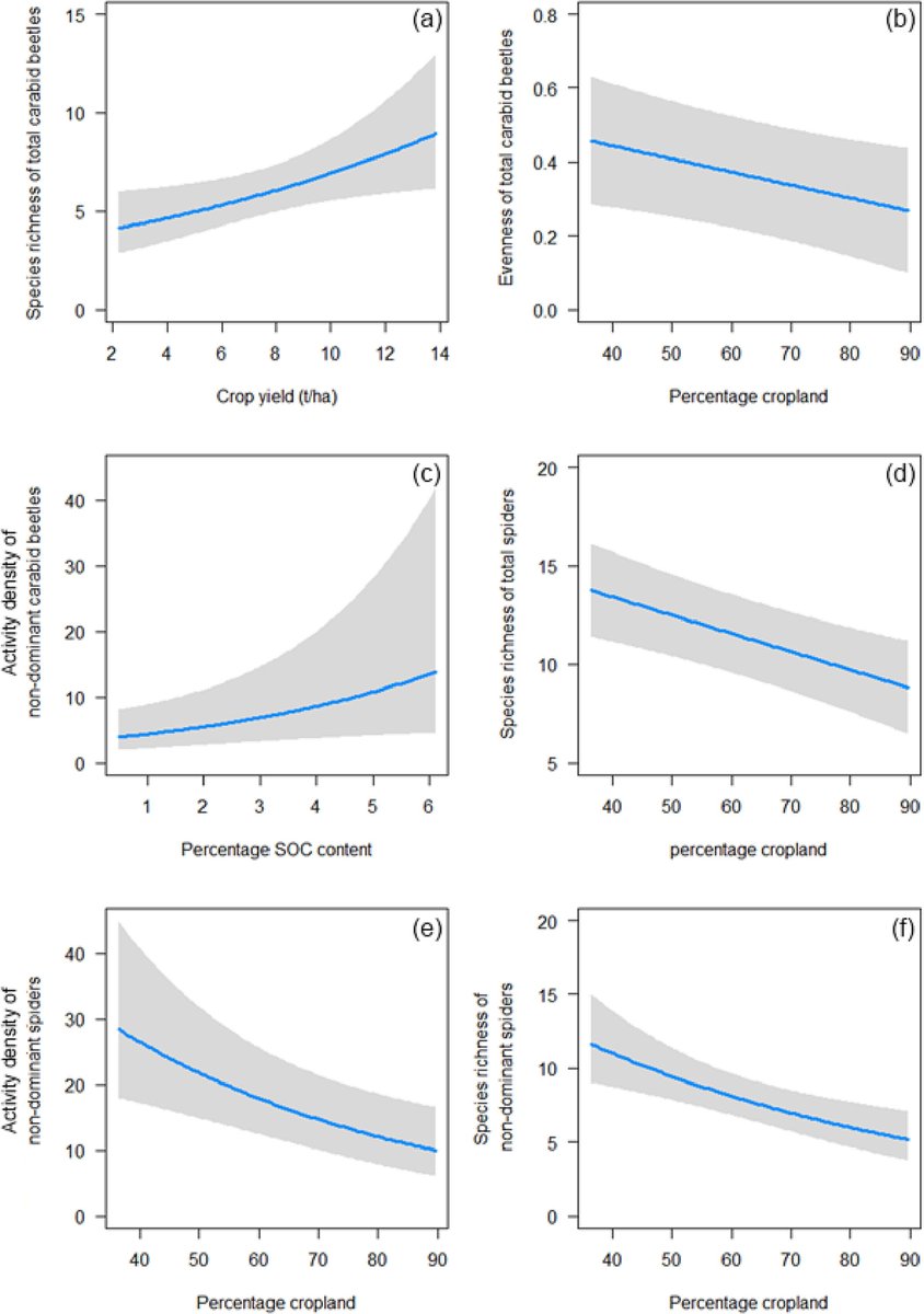
Carabids and spiders in 66 winter wheat fields in four northwestern European countries
@carabids @ELSenviron
doi.org/10.1016/j.bioc…

English

Methodological recommendations for investigating insect population trends based on time series data.
@RoyEntSoc #carabids
doi.org/10.1111/icad.1…

English

Diversity of carabid beetles in highly fragmented "modern" and less fragmented "traditional" agricultural landscapes.
@carabids @RoyEntSoc
doi.org/10.1111/icad.1…


English

Effects of windthrow event and salvage logging of damaged trees on carabids.
@carabids @SpringerNature
doi.org/10.1007/s10342…

English

Dispersal capacity plays a crucial role in determining scale-dependent changes in diversity patterns.
@carabids @ESA_org
doi.org/10.1002/ecy.39…

English







