
Stop by! #DecipherProstate by @Veracyte, Inc. is at the 90th Annual Meeting of the Southeastern Section of AUA (SESAUA) in Río Grande, Puerto Rico. Visit our booth today or tomorrow to learn how we’re helping transform #ProstateCancer care! #UrologicCancer #PrecisionMedicine

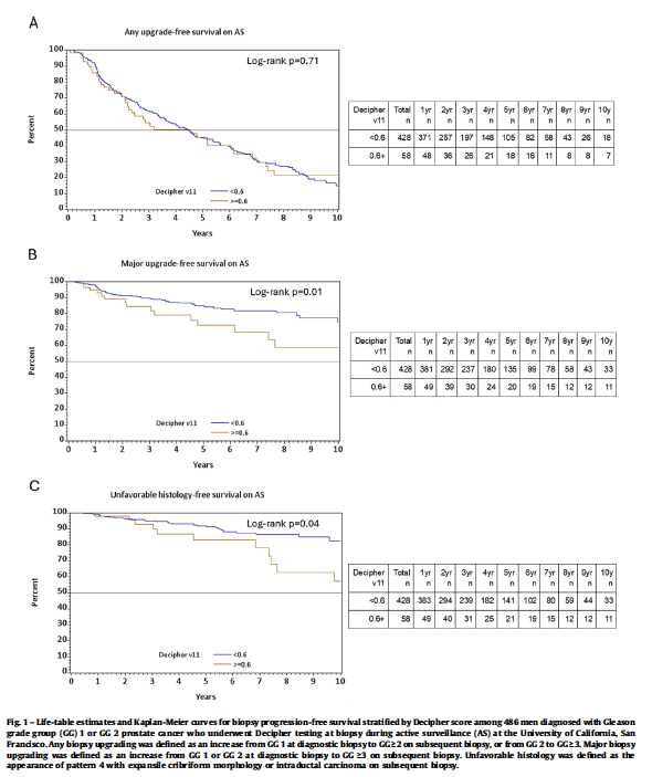
English






















