

Esther Sánchez
1.4K posts

@EstherSl78
Politòloga a: @salutpublicabcn














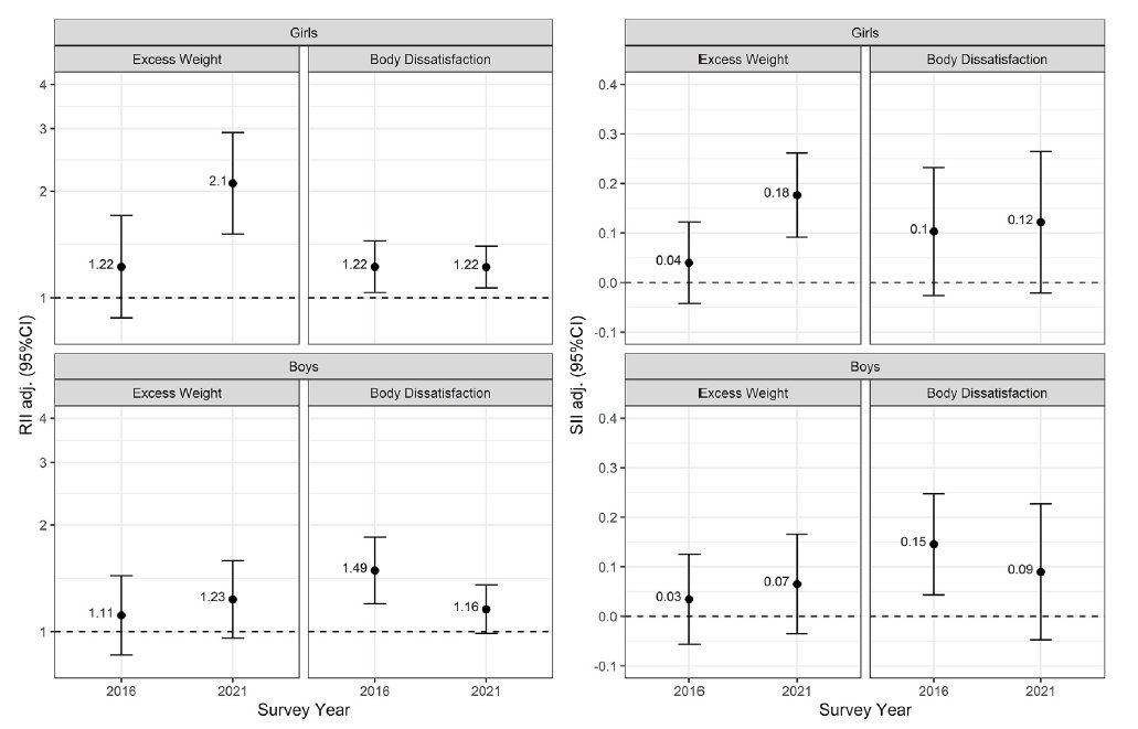
Hola a totes! Aquesta setmana hem publicat l'article del meu TFM a la revista @RSPH_PUHE: Changes in social inequalities in excess body weight and body dissatisfaction among adolescents in Barcelona, Spain, 2016-2021. Petit fil amb els resultats més destacats 🧵







Més presència de dones a les biblioteques de Barcelona! Durant aquest any sis equipaments de l'Eixample, Gràcia i Nou Barris actualitzaran el seu nom per incloure figures femenines rellevants del món del llibre i la cultura, o de l'entorn veïnal. ℹ️ barcelona.cat/infobarcelona/…



#RosaMArquimbau #bbcnVilaDeGràcia 🙎♀️Amb una visió feminista i avançada per l’època entorn de l’art, l’amor i l’amistat, va escriure prosa i poesia 📚Va entrar en el món de la narració de la mà de 'Tres contes breus' (1928) #BibliotequesAmbNomDeDona #8M

