Mesquita TETRACAMPEÃO DA AMÉRICA 🏆🏆🏆🏆 retweetledi
Mesquita TETRACAMPEÃO DA AMÉRICA 🏆🏆🏆🏆
6.3K posts

Mesquita TETRACAMPEÃO DA AMÉRICA 🏆🏆🏆🏆
@FPMesquitacrf
@flamengo🔴⚫️ 🏖021
Katılım Aralık 2023
118 Takip Edilen20 Takipçiler

@venecasagrande Enquanto todas as torcidas tão so dimunuindo o público no estádio, o Flamengo continua tudo normal lotando sempre
Português

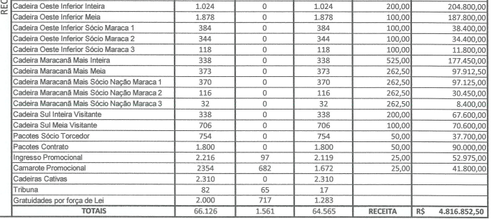
O borderô do jogo Flamengo 2x0 Bahia informou que 66.126 pessoas estiveram presentes no Maracanã, o que gerou uma renda de R$ 4.816.852,50.
Não dá para normalizar o que a torcida do Flamengo vem fazendo desde o ano passado. Claro que o bom momento dentro de campo ajuda, mas, mesmo assim, é para valorizar.
Na quarta, contra o Vitória, pela Copa do Brasil, provavelmente um Maracanã cheio, mesmo não sendo um jogo com grande holofote, time provavelmente alternativo e um horário nada legal (21h30).


Português

@jornalismisdead @nardoanalises 8 assistências no Brasileirão totalmente inflacionados por encanteio
Português

@nardoanalises Primeiro o Paqueta tem que superar o Andreas
9 assistências em 12 jogos no Brasileirão. Jogador com mais participações em gols no campeonato jogando de volante (10)
O segundo com mais participações é justamente o Danilo
Paquebet tem que comer muito arroz com feijão ainda
Português

@DELAMORESEP Flamenguista q ta puto com isso é sacanagem, deixa os cara zoar po acontece kkkkk, To feliz p crlh pq é uma honra ver ele jogar no Flamengo, normalmente jogador foda incomoda msm
Português

Além de perder o processo, ainda era capaz de tomar uma litigância de má fé.
Quanto mais esperneiam, mais o apelido cola.
HAHAHAHAHAHAHAHAHAHAHAHAHA.
Walter Monteiro@womonteiro
Se eu fosse o Arrascaeta, processaria os criadores da expressão. Ficar em silêncio é reforçar o comportamento maldoso e antiético no jornalismo.
Português

@flattorcedor Era pra ser 22 pontos se n fosse o roubo contra o Corinthians
Português

Apesar de estar em boa fase, o Flamengo tem resultados piores enfrentando os mesmos adversários do que no Brasileirão de 2025:
2025 x 2026.
• São Paulo (F): E x D
• Internacional (C): E x E
• Vitória (F): V x V
• Cruzeiro (C): E x V
• Botafogo (F): V x V
• Corinthians (F): V x E
• Bragantino (F): V x D
• Santos (C): V x V
• Fluminense (F): D x V
• Bahia (C): V x V
Total: 21 pts (2025) x 20 pts (2026). Desempenho inferior.

Português

@Noitedecopa 9 assistências? No sofascore n contou nao
Português
Mesquita TETRACAMPEÃO DA AMÉRICA 🏆🏆🏆🏆 retweetledi

@R10Score E nunca rebaixado tbm, o maior dos pontos corridos
Português

@JadenZss @Erikesfla7 @vitoridemmaia0 @Noitedecopa @DoentesPFutebol Bragantino fora e pós data fifa é o combo perfeito pro flamengo perder, derrota na certa
Português

@Erikesfla7 @vitoridemmaia0 @FPMesquitacrf @Noitedecopa @DoentesPFutebol Não que o Flamengo seja mt diferente, por exemplo aquele 3x0 pro Bragantino n da pra tankar pqp kkkkkk
Português

Você piscou e de novo a gente tem Palmeiras e Flamengo disputando o Campeonato Brasileiro 🏆🔥
📸 @DoentesPFutebol

Português

@futtmais @CharlaPodcast Falta de respeito
Português
Mesquita TETRACAMPEÃO DA AMÉRICA 🏆🏆🏆🏆 retweetledi

@rafamoraes29_ Dito isso, isso aqui é histórico n vai ter nada igual
Português

bom.... kkk o botafogo papou a AMERICA e BRASILEIRO um ano depois.
Fred Sincero@FREDSIINCERO
Para gente, isso daqui nunca será superado
Português

@ErickLuizera @ecvafro @Mfutebolisticos Aí vc enloqueceu, canta sim, inclusive a Raça canta o jogo inteiro
Português

@FPMesquitacrf @ecvafro @Mfutebolisticos Sabe o problema? Que nem as organizadas do seu time canta kkkkk
Português

@RegisCoringao @guixsccp7 @FelipeSP1932 @Mfutebolisticos Posso concordar com vc que existe sim pessoas que torcem pro flamengo e mais um, porém não é Maioria, morei no nordeste e a maioria era apenas Flamengo, Tem muito terceirizado sim, mas a maioria nao é, inclusive tem Corinthianos e Palmeirenses la tbm q torcem pra mais um
Português

@RoderichJS @ecvafro @Mfutebolisticos Mas eu elogio a organizada do Corinthians, eu acho mt diferenciada. Por isso muitos elogios a torcida do Corinthian, por conta da organizada
Português

@FPMesquitacrf @ecvafro @Mfutebolisticos Onde houver alguém elogiando a torcida do Corinthians, haverá um crf carente dando explicação.
Português

@corinthianoc0mh @ecvafro @Mfutebolisticos Pra que vou dar desculpa? Torcida do flamengo é a que mais lota estádios todo ano, nenhuma supera a nossa
Português

@FPMesquitacrf @ecvafro @Mfutebolisticos Sempre um 'crf' querendo dar uma desculpa quando o assunto é torcida kkkkkkkkk chega a ser comico
Português

@depressed1910 @ecvafro @Mfutebolisticos So to falando q a torcida de vcs canta por causa de uma organizada kkkk
Português

@AtagotRenata @ecvafro @Mfutebolisticos Temos, porém nesses jogos do nordeste vai somente os torcedores comuns
Português















