




Peter Forsberg MD
140 posts

@ForsbergMD
Oncologist at @ColoradoBlood | Myeloma, Amyloid, WM, BMT, CAR-T | Opinions are my own









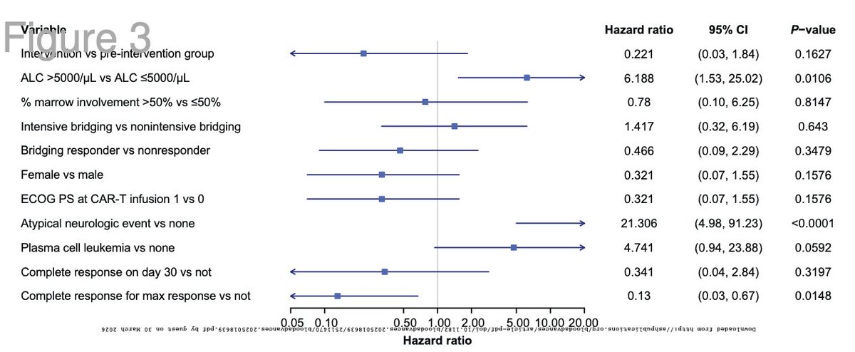
Our data from @ColoradoBlood is out now. We developed an approach using dex for excessive lymphocyte expansion after Cilta-Cel. Instituted along with more stringent bridging we subsequently observed improvements in non-relapse mortality and reduced severe atypical neurotox events






#Myeloma Paper of the Day: Dexamethasone prophylaxis for high lymphocyte expansion (ALC >5000/μL, which predicted severe early neurologic events/high mortality) post-cilta-cel in myeloma demonstrates promise for risk mitigation, including better OS: pubmed.ncbi.nlm.nih.gov/41894686/. #mmsm




***COMMIT Publication Alert*** British Journal of Haematology | Wiley Online Library onlinelibrary.wiley.com/doi/10.1111/bj…














#Denver #myeloma community, we want to see you at our RCW on 6/21! At this free IMF event, you'll learn about diagnosis, maintenance therapy, relapse information, clinical trial update, & more, all from multiple myeloma experts. RSVP today: mmsm.link/4koSV9E

Newly diagnosed with MM? MASTER-2 addressed response adapted therapy with the perspective of finite treatment. Accruing fast! #mmsm

