Geometric Bites retweetledi

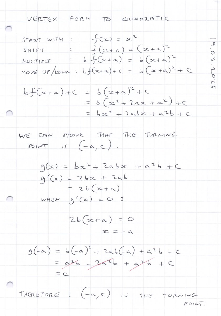
Vertex Form To Quadratic and Turning Point
Step by step derivations.
#vertexform #parabolas #polynomials

English
Geometric Bites
1.9K posts

@GeometricBites
Shop: https://t.co/CSgtCYWEZF Youtube: https://t.co/MaKGiYghg4 Proofs: @mathsproofs Articles: @geometryupdates


















