
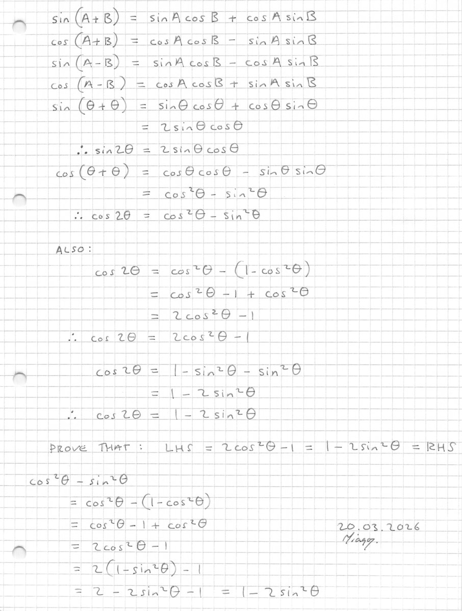
Visual mathematics:
Another way to sum up consecutive natural numbers.
#sigma #visualmath #mathematicsproofs

English
Mathematics Proofs: GCSE & A-Level
1.2K posts

@mathsproofs
IG, Threads & YT: @ mathematics.proofs Blogger: https://t.co/p5hcprqQN4 WP: https://t.co/DdcIA7rszc Premium: @geometryupdates
















Binomial expansion written out clearly for use with limits, especially expressions like (x + Δx)ⁿ. A useful way to see why the derivative of xⁿ becomes nxⁿ⁻¹. #differentiation #binomialexpansion #pascalstriangle #combinatorics










