Hugo Boursier
2.9K posts

Hugo Boursier
@HugoBoursier
Co-responsable éditorial de @Politis_fr - ex @franceculture @LeTempsDuDebat, ex pigiste @libe, @Mediapart
Paris Katılım Ağustos 2011
1.8K Takip Edilen2.8K Takipçiler
Sabitlenmiş Tweet

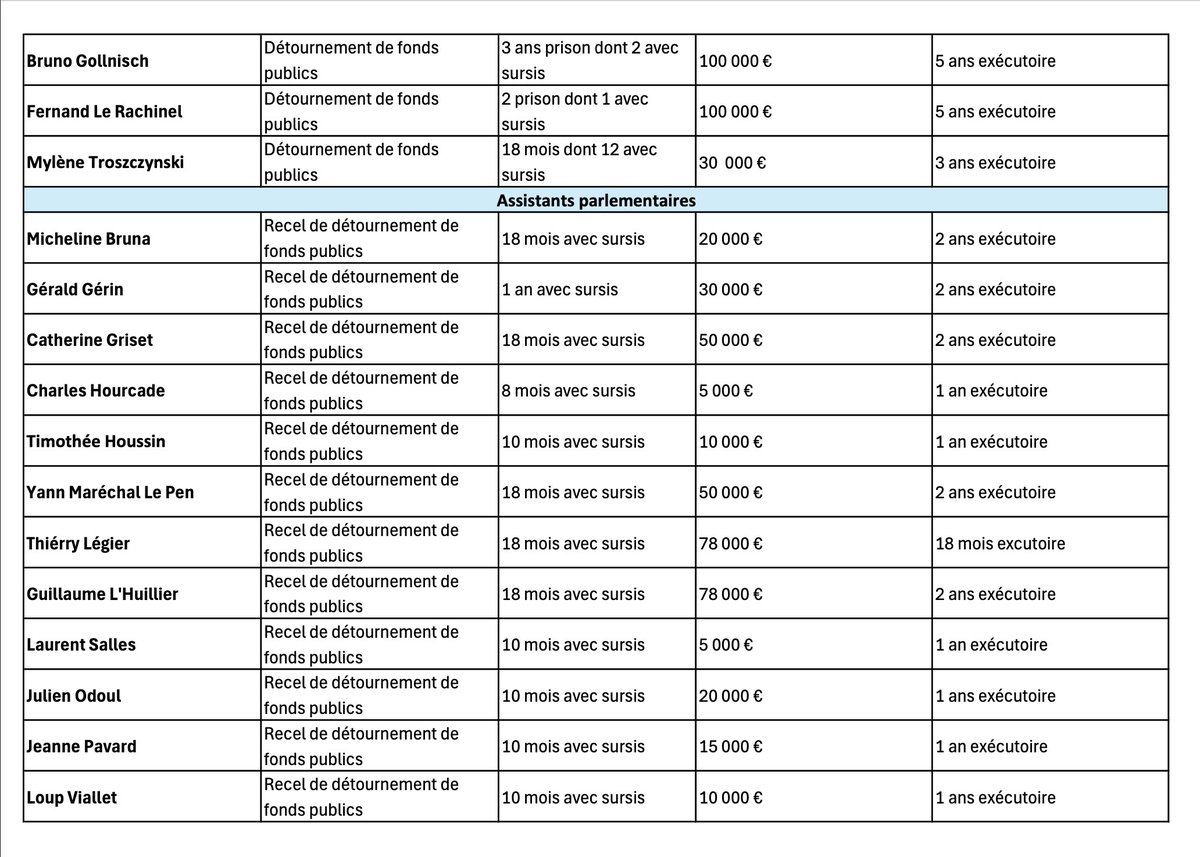
Exclusif : le tribunal administratif rejette la levée d'interdiction de la marche néonazie du C9M.
politis.fr/articles/2026/…
Français
Hugo Boursier retweetledi

Le député de Gironde @PrudhommeLoic prend ses distances avec la @FranceInsoumise. Élu en 2017, il lâche aujourd'hui : « Il faut arrêter de se tromper d’ennemi. On passe plus de temps à taper sur le PS que sur la droite et l’extrême droite. » @Politis_fr
politis.fr/articles/2026/…
France 🇫🇷 Français
Hugo Boursier retweetledi

La porte-parole du groupe socialiste à l'Assemblée nationale (@socialistesAN), @BeatriceBellay, qui a voté pour la censure le 16 octobre, va voter pour le PLFSS dans quelques heures.
@Politis_fr
Français
Hugo Boursier retweetledi

Le chef du groupe @droiterep_an @laurentwauquiez veut déposer une proposition de loi interdisant le port du voile pour les mineures dans l'espace public. "Le voilement de jeunes filles (...) heurte nos principes les plus fondamentaux", écrit Wauquiez dans ce texte. @Politis_fr
Français
Hugo Boursier retweetledi

La gauche maintient la pression. « Que Macron parle et décide vite. Le seul choix pour ne pas se jeter dans la falaise, c'est un Premier ministre de gauche », dit un membre de la direction du @partisocialiste lors de l'intervention de @SebLecornu au JT de France 2. @Politis_fr
Français
Hugo Boursier retweetledi

La secrétaire nationale des @EELV, @marinetondelier, propose au reste de la gauche une réunion demain à 9h dans un lieu neutre. @Politis_fr

Français
Hugo Boursier retweetledi

A l'initiative des jeunes de @GenerationsMvt, les organisations de jeunesse échangent. Les jeunes @EELV, de l'@Apres_fr de @debout_fr, du @partisocialiste seront de la réunion. Des discussions sont en cours avec les jeunes de la @FranceInsoumise. Les jeunes du @PCF ont décliné.
Français

Pas le temps de regarder les directs ? @lucas_sarafian résume pour @Politis_fr les tractations et débats en cours à gauche après la démission de Lecornu ⤵️
Lucas Sarafian@lucas_sarafian
Sans surprise, @placepublique_ refuse l'accord proposé par @FranceInsoumise. "Il n'y aura aucune alliance avec Mélenchon. Et les partenaires de gauche ne peuvent pas oublier en 24 heures que les insoumis n'ont fait que les brutaliser", dit @sbenmouffok.
Français
Hugo Boursier retweetledi

Les Écologistes @EELV viennent d'entrer à nouveau en bureau politique. La réunion a commencé il y a 10 minutes. C'est le deuxième bureau politique pour le parti depuis ce matin. @Politis_fr
Français
Hugo Boursier retweetledi

Le comité exécutif du @PCF commence à 14h. Le bureau national du @partisocialiste commence maintenant. Ils devront répondre à la proposition de @JLMelenchon. Pour rappel, la @FranceInsoumise a lancé l'idée d'une réunion entre les composantes du Nouveau Front populaire.
Français
Hugo Boursier retweetledi

La députée écologiste @MariePochon se présente à la vice-présidente de l'Assemblée nationale. "Notre combat prioritaire, c'est le combat contre le RN, dit-elle à @Politis_fr. La stratégie des macronistes est désolante au vu du front républicain qui les a fait élire."
#DirectAN
Français
Hugo Boursier retweetledi

Le groupe @Gpe_EcoloSocial présente deux candidatures en surnuméraire pour les vice-présidences de l'Assemblée afin que les députés aillent au vote. Une stratégie permettant de bloquer l'accord entre @YaelBRAUNPIVET et le Rassemblement national sur le bureau de la Chambre basse.
Français
Hugo Boursier retweetledi
Hugo Boursier retweetledi

Faites écouter l'entretien, sans filtre, d'Adèle Haenel à @franceinter à vos ados. Elle avait 12 ans. C'était une enfant, aucun adulte ne l'a protégée. Aujourd'hui, sa voix porte et nous, adultes, devons lui dire merci de porter si fort ce message.
radiofrance.fr/franceinter/po…
Français
Hugo Boursier retweetledi

La Cinémathèque française de nouveau secouée pour sa programmation sexiste
Après une semaine de contestation féministe, la direction a annulé la projection du film Le Dernier tango à Paris... à cause d'un prétendu « risque sécuritaire ».
✒️ @HugoBoursier
buff.ly/4gg3UzR
Français
Hugo Boursier retweetledi

19 femmes ont témoigné à @Politis_fr contre Gérard Darmon. À la veille de la publication 10 ont renoncé de publier leur témoignage par peur des représailles. Une peur qui doit changer de camp ! Merci à elles, toutes, pour leur courage. Et merci Judith Godreche pour ces mots.
Français

Dans @Politis_fr, neuf femmes accusent Gérard Darmon de violences sexistes et sexuelles. Une technicienne indique avoir déposé une plainte contre une société de production pour absence de protection. Contacté, l'acteur nie et multiplie insultes et menaces. politis.fr/articles/2024/…
Français

Nesrine Slaoui, Nadia Yala Kisukidi, Aurore Koechlin, Kaoutar Harchi, Anne Toumazoff, Céline Extenso, Lexie, Fania Noël, Marie Coquille-Chambel, Élise Thiébaut, Nacira Guénif, Mimi Aum Neko, Rokhaya Diallo : ces chroniqueuses pour @Politis_fr soutiennent Maboula Soumahoro.
Pierre Jacquemain@pjacquemain
Communiqué Politis - Soutien à Maboula Soumahoro. Si l'ext. droite a gagné du terrain, l'immense majorité des eurodéputés n'ont pas été élus pour entretenir ses fantasmes nauséabonds. La décision du Parlement est irresponsable ! La conf annulée doit être reprogrammée sans délais.
Français
Hugo Boursier retweetledi





