Sabitlenmiş Tweet

Finally was published!!! 🥳🥳🥳🎉🎉
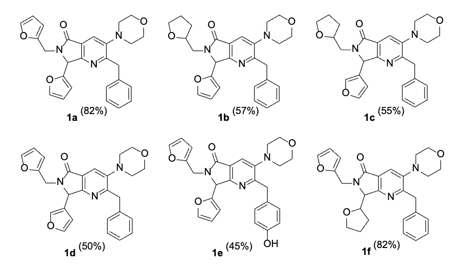
Synthesis of bis-furyl-pyrrolo[3,4-b]pyridin-5-ones via Ugi–Zhu reaction and in vitro activity assays against human SARS-CoV-2 and in silico studies on its main proteins - now published in RSC Medicinal Chemistry pubs.rsc.org/en/content/art…
English




































