Sabitlenmiş Tweet
Ivory
2.1K posts

Ivory retweetledi

@karikari_bac0n あまり物を語らない冷たさと、冷やされた銃、食べかけのスパムなどがハードボイルド感あるって感じですかね
日本語

@Ivorytower0128 学がないせいで、アメリカ文学をすっからかんだと揶揄しているのかと思った
本当はどういう意味なんですか?
日本語

ちなみに私はアメリカ文学はそんなに好みません。
カポーティと、サリンジャーのいくつかの作品は気に入っているけど
ハードボイルドは、たまにでいい
Ivory@Ivorytower0128
アメリカ文学みたいな冷蔵庫
日本語



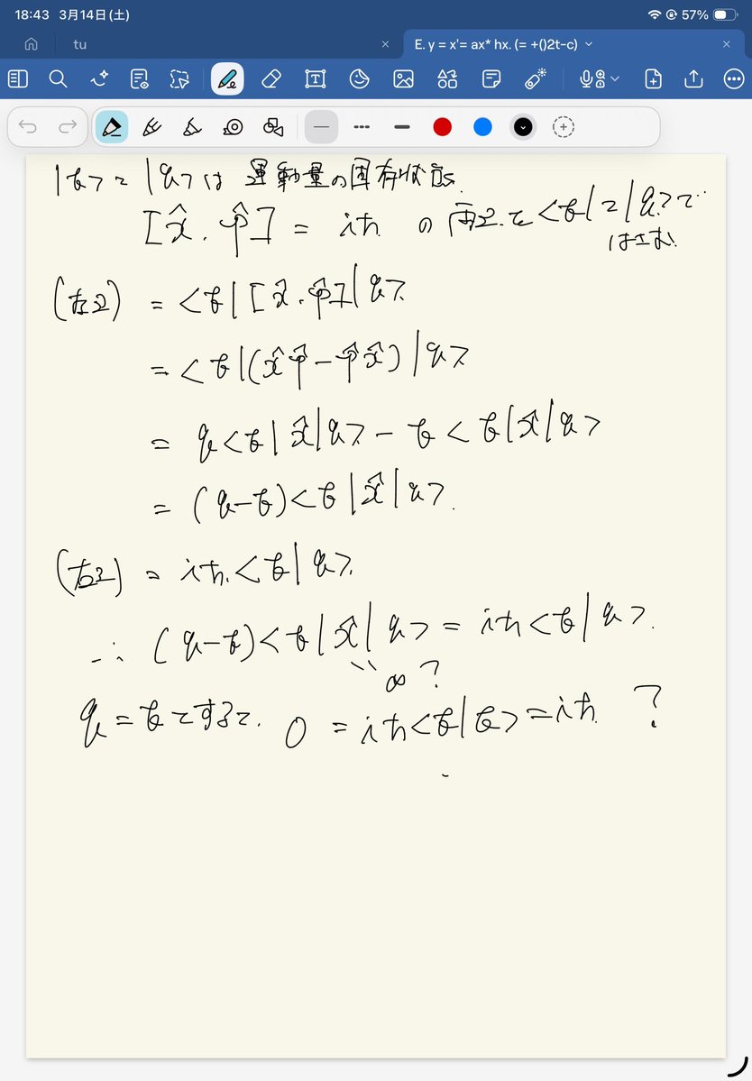
@goldrogerrrx @inter_netYaMeRo 不確定性原理から、運動量の固有状態ではゆらぎ0だから、位置の揺らぎが無限大になるしどの表示でもその値は変わらないのでは
日本語






