Sabitlenmiş Tweet
余余余⩌‸⩌
3.7K posts

余余余⩌‸⩌
@JMNVDVRN
級数と積分が好き。https://t.co/7lTRLYEy2Y ゲーム垢→@Yoyoyo_desuyo0鍵垢→@419i__
VRChat Katılım Aralık 2021
1K Takip Edilen1.6K Takipçiler
余余余⩌‸⩌ retweetledi
余余余⩌‸⩌ retweetledi
余余余⩌‸⩌ retweetledi

これネットにも公開されたみたいです!僕のも載ってます↓
お腹いっぱいになれる度合いはナンバーワンだと自負しております
一覧:
kurims.kyoto-u.ac.jp/~kyodo/kokyuro…
おれのやつ:
kurims.kyoto-u.ac.jp/~kyodo/kokyuro…
せきゅーん@integers_blog
RIMS講究録印刷最終号!!!(2340号よりオンライン発行のみ)
日本語
余余余⩌‸⩌ retweetledi

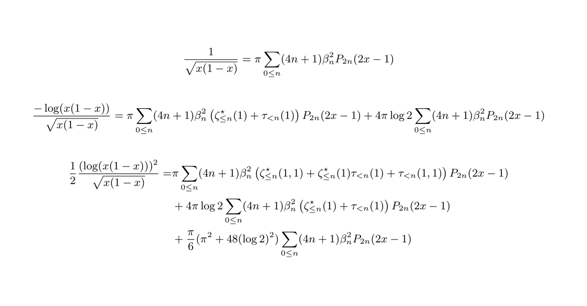
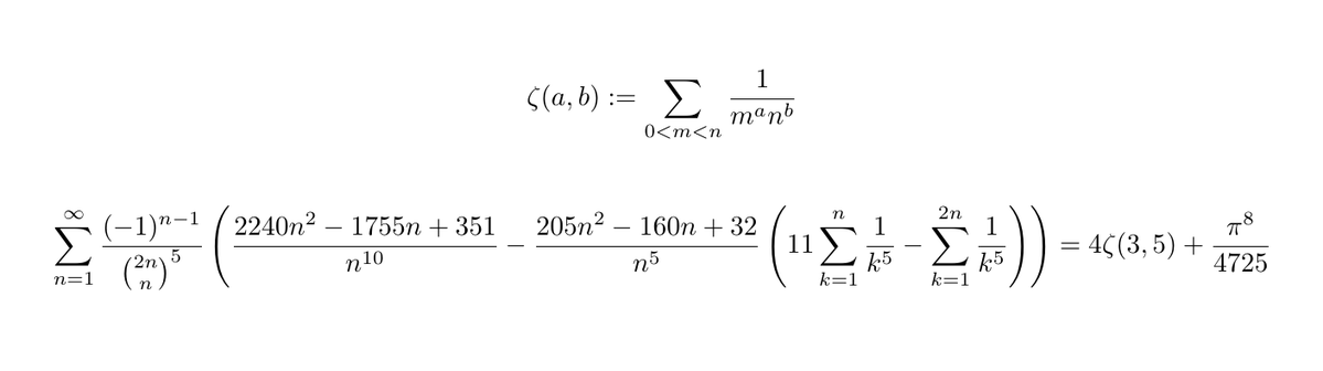
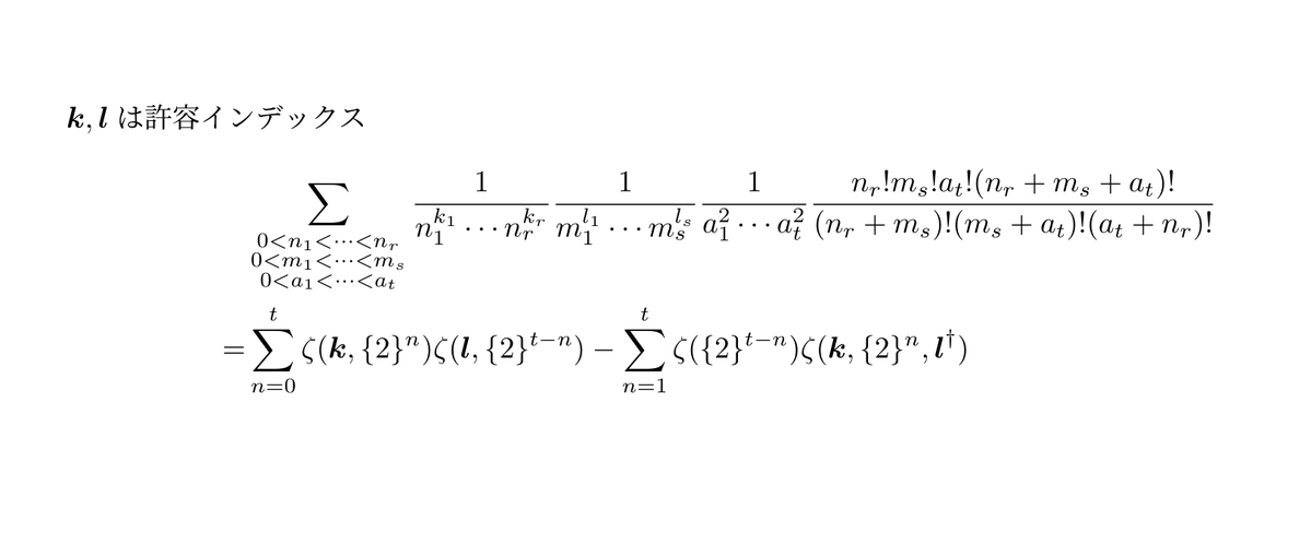
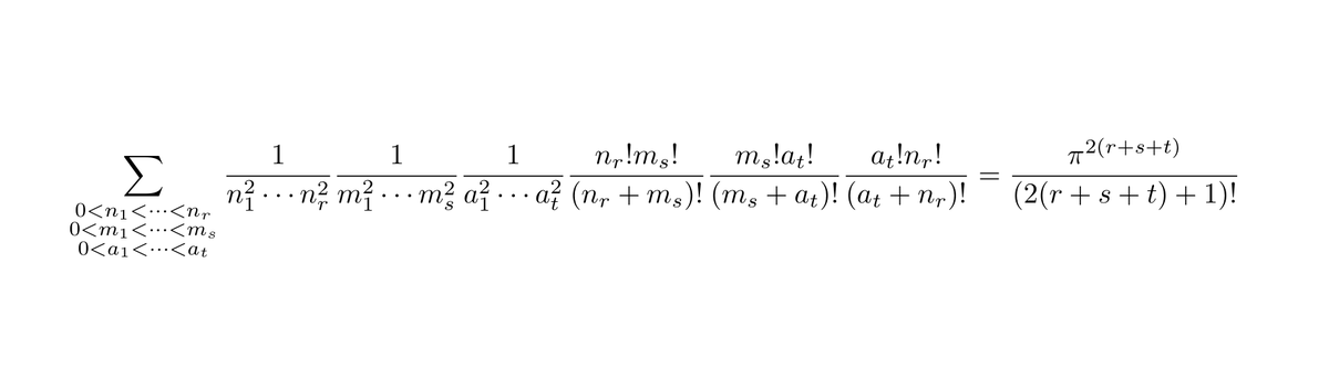
Minoru Hirose, Nobuo Sato: Iterated beta integrals arxiv.org/abs/2603.25717
Lietuvių
余余余⩌‸⩌ retweetledi
余余余⩌‸⩌ retweetledi

多重ゼータ値(MZV)に関して Zudilin 先生と Bachmann 先生が入門PDF(講義ノート)をちょうど去年それぞれ公開してたの知らなかった
Multiple zeta values Tasting notes (Zudilin)
math.ru.nl/~zudilin/PS/MZ…
Multiple Zeta Values (Bachmann)
henrikbachmann.com/uploads/7/7/6/…
↑ p.104 関係式の相関図 要参照!
日本語














