Janmat polls
6.9K posts

Janmat polls
@Janmatpolls
Survey and Analysis,Ground reports & real-time updates on Indian elections | Neutral, Fast, Factual , https://t.co/BBfiBnYmHk [email protected]
Rajasthan Katılım Ağustos 2018
69 Takip Edilen18.5K Takipçiler


मतदान ने तो इस बार इतिहास लिख दिया 🔥
तीनों राज्यों में रिकॉर्ड वोटिंग — और एक बार फिर महिलाओं ने पुरुषों को पीछे छोड़ दिया 👇
📍 असम: 85.38%
(महिला 85.96% | पुरुष 84.80%)
📍 केरल: 78.03%
(महिला 80.86% | पुरुष 75.01%)
📍 पुडुचेरी: 89.83%
(महिला 91.33% | पुरुष 88.09%)
📌 पुडुचेरी में 1964 के बाद सबसे ज्यादा मतदान
हिन्दी
Janmat polls retweetledi

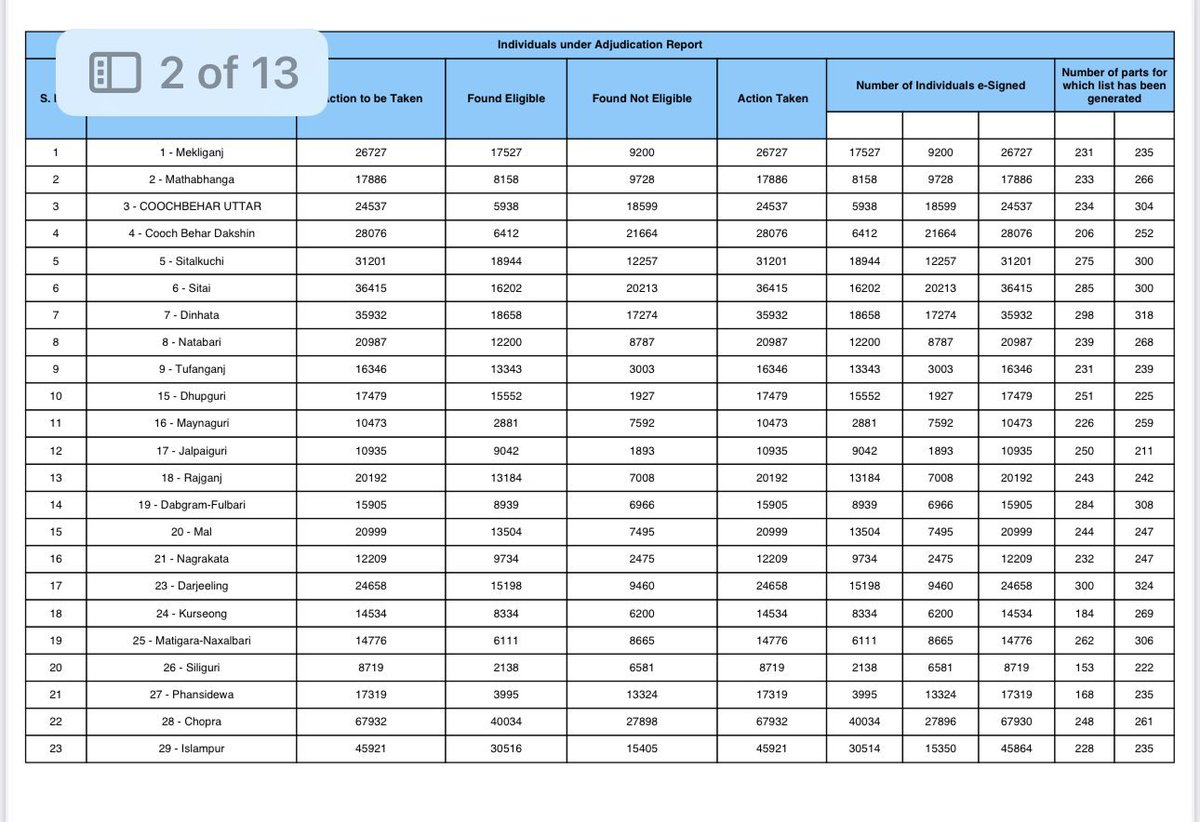
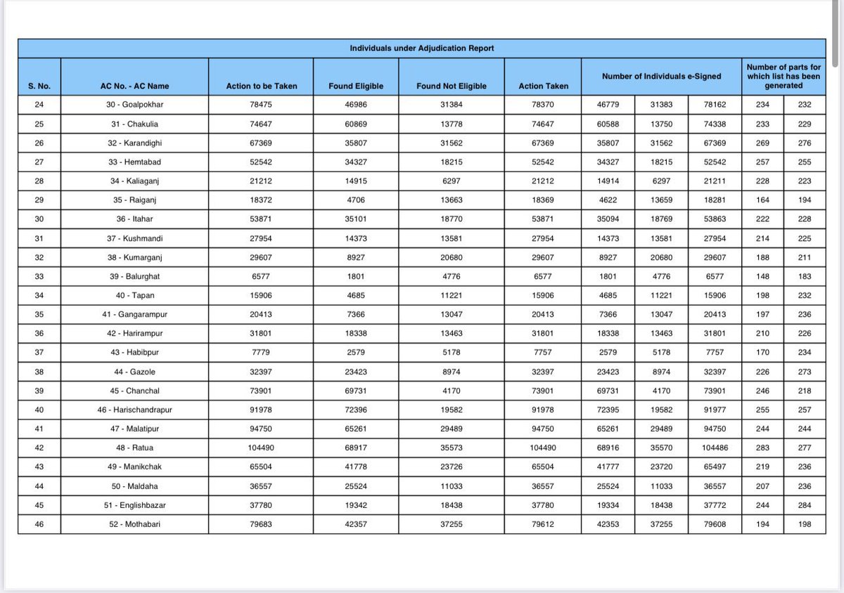
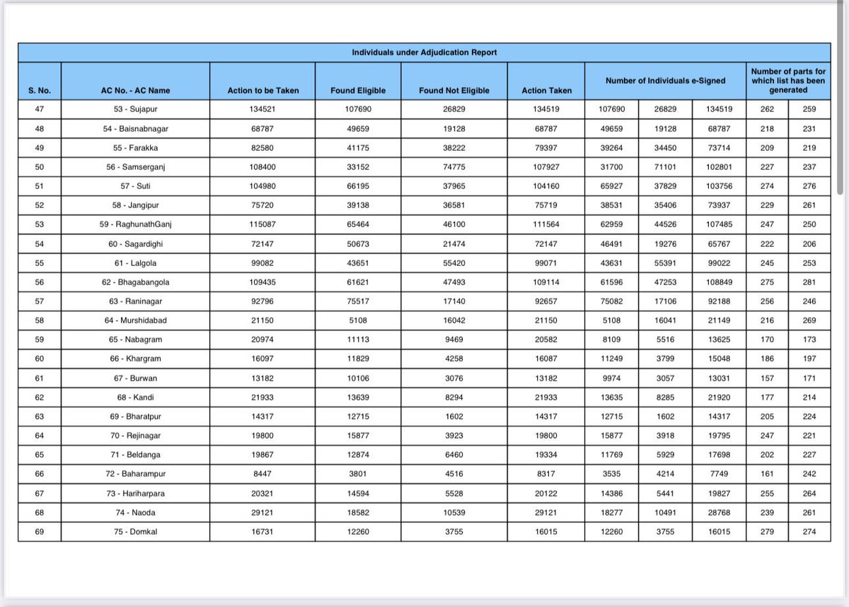
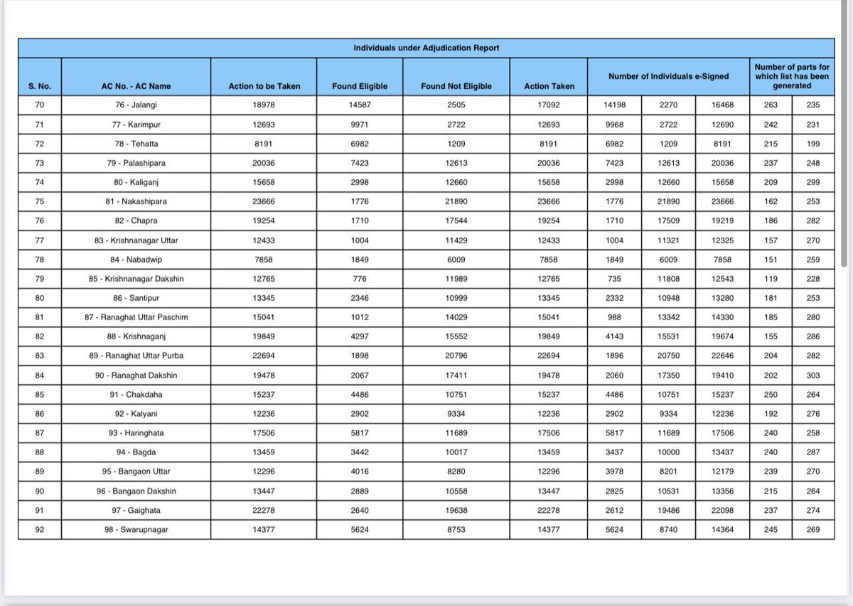
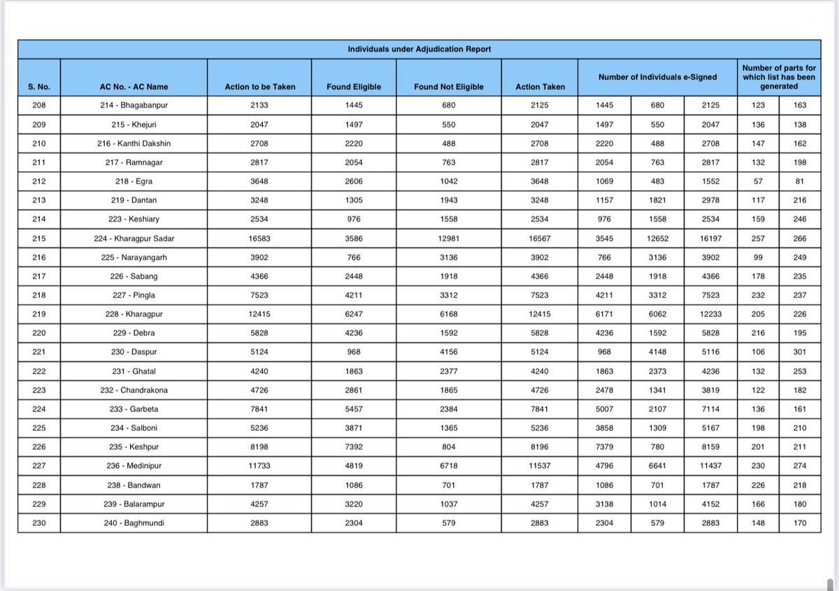
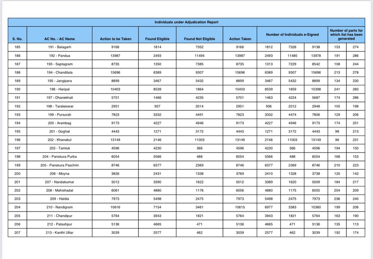
#WestBengal
ओंडा विधानसभा क्षेत्र से AJUP (हुमायूँ कबीर की पार्टी ) उम्मीदवार मतिबुल रहमान ने अपना नामांकन वापस लेने और TMC में शामिल होने का फैसला किया है!
हिन्दी


#WestBengal
BJP के 3 और प्रभावशाली बागी नेताओं ने निर्दलीय उम्मीदवार के तौर पर अपना नामांकन दाखिल कर दिया है
गंगारामपुर - चित्तरंजन बर्मन
बालुरघाट - सुशील मार्डी
मेखलीगंज - दिलीप रॉय
हिन्दी

#WestBengal
मतुआ क्षेत्र में #BJP को एक बड़ा झटका लगा है,
पूर्व विधायक और मतुआ समुदाय के एक प्रमुख बड़े नेता दुलाल बार ने बगदा विधानसभा क्षेत्र से निर्दलीय उम्मीदवार के तौर पर चुनाव लड़ने का फैसला किया है।
उनकी उम्मीदवारी का असर केवल बगदा विधानसभा क्षेत्र तक ही सीमित नहीं रह सकता, बल्कि यह बनगांव लोकसभा क्षेत्र के कई हिस्सों को भी प्रभावित कर सकती है।
हिन्दी

#westbengal
बसिरहाट के मजबूत नेता बाबू मास्टर #TMC में शामिल हो गए हैं।
हिन्दी























