Kévin Fillin

2K posts

Kévin Fillin banner
Kévin Fillin

Kévin Fillin

@Kevin_Fillin

Pseudo forum IC : Météodu37 Passionné de météo, étude de la mécanique atmosphérique et de la météorologie, de l'activité solaire et de l'univers.

Sainte-Maure-de-Touraine Katılım Haziran 2016
1.2K Takip Edilen833 Takipçiler
Kévin Fillin
Kévin Fillin@Kevin_Fillin·
@RouslanT Publier ce genre de carte n'a aucun intérêt dans la prévision, si ce n'est que tu veux attirer les foules et avoir un max de vues ;)
Français
0
0
0
245
Rouslan Tremblier
Rouslan Tremblier@RouslanT·
Les premiers tendances pour les hivernophiles sont sorties pour Noël 🎅 comme chaque année à 380h 🤡
Rouslan Tremblier tweet media
Français
10
6
128
38.6K
Kévin Fillin
Kévin Fillin@Kevin_Fillin·
Je n'ai malheureusement pas pu suivre entièrement l'épisode étant finalement devenu indispo en soirée. La neige est bien tombée entre Normandie/Île-de-France/Picardie/NPDC/Centre et le nord-est du pays. Généralement, il s'agissait d'un saupoudrage mais on a tout de même pu relever 1 à 4 cm sur ces régions (y compris en IDF). Sur les hauteurs du Perche (300-400 mètres), le Vexin, le pays de Caux, les plaines picardes, la Champagne ou encore la Beauce, il a pu être relever une couche de 5 à 7 cm localement. Toute cette neige a rapidement fondue en fin de nuit avec l'arrivée d'air plus doux, place désormais à un temps pluvieux et globalement de saison.
Français
0
0
7
500
Kévin Fillin
Kévin Fillin@Kevin_Fillin·
Suivi 17h00 : Le front continue sa progression vers le centre du pays et s'étend de l'estuaire de la Gironde à la Normandie avec des pluies faibles à localement modérées. On observe quelques flocons sur l'extrême sur de l'Orne dans la campagne d'Alençon et le nord des alpes mancelles. Sur l'est de ce même département, il s'agit principalement de pluie avec de temps en temps un peu de neige qui vient s'y mêler, pas de tenue au sol pour le moment. Dans les prochaines heures (entre 18h et 19h), les températures vont commencer un peu à baisser à l'avant du front, de la neige pourra se mêler à la pluie quand la perturbation gagnera le pays Manceau, le Perche et le département de l'Eure. La tenue au sol sera également difficile en raison de températures tout juste proche de 0°C et des sols humides, un léger saupoudrage reste possible sur les premières hauteurs du Perche et le pays d'Ouche (sud du département de l'Eure). Image : Radar du site @meteociel Infographie rajoutée personnellement, matérialisation de la première zone où la neige ferait son apparition.
Kévin Fillin tweet media
Français
1
2
18
2.5K
Kévin Fillin
Kévin Fillin@Kevin_Fillin·
Sauf que pour le coup MF est largement dans le vrai, évitez de vous fier aux cumuls de neige sur les modèles, ça prend l'équivalence en précipitations donc grosse erreur ! 2 à 5 cm sur l'IDF ce n'est pas possible, d'autant plus le remplacemenr rapide de la pluie à l'arrière, et l'arrivée d'air doux qui peut se faire plus tôt en altitude et à l'avant du front.
Français
1
0
7
1.4K
.
.@Monsieurmeteo07·
#meteo — 🌍❄️ On vit quand même dans un monde à part… Franchement, c’est dingue de voir de telles différences de cumuls entre l’organisme officiel 📊🇫🇷 et le monde amateur 🤷‍♂️📉. Les écarts parlent d’eux-mêmes… et pas dans le bon sens 😅.
. tweet media. tweet media
Français
10
3
57
14K
Kévin Fillin
Kévin Fillin@Kevin_Fillin·
Ces situations étant relativement rares, j'entame un petit suivi sur ce front pluvio-neigeux qui devrait concerner plusieurs de nos départements d'ici ce soir et cette nuit. Suivi à 13h : La perturbation a envahie l'ensemble de la région bretonne ce midi, elle se dirige vers l'est de manière assez lente en raison de la présence d'air froid à l'avant. Pour le moment, il s'agit de pluies régulières de faible intensité puisqu'on relève entre 2 et 5 mm. En milieu d'après-midi, entre 15h et 16h, le front va aborder les Pays-de-la-Loire et la Normandie. Les premiers flocons pourront être perceptibles essentiellement sur les collines normandes du département de l'Orne (61) (suisse normande, mortainais, domfrontais, forêt d'Ecouves), puis localement sur le département de la Mayenne (53) entre le bocage mayennais et les alpes mancelles. Sur ces secteurs, on relève des températures tout juste positives avec, par exemple, -1°C à Saint-Cornier-des-Landes (61), 0°C à la Coulonche (61), 1°C à Pré-en-Pail (53) et Mayenne (53). Il faut s'attendre à un léger saupoudrage entre ces deux départements, avec possiblement 1 à 2 cm sur les sommets des collines normandes et les alpes mancelles (à partir de 300-400 mètres). Image : Radar du site @meteociel Infographie rajoutée personnellement, matérialisation de la première zone où la neige ferait son apparition.
Kévin Fillin tweet media
Français
1
1
14
1.3K
Kévin Fillin
Kévin Fillin@Kevin_Fillin·
Nouveau bulletin national publié sur @infoclimat accessible par ici -> infoclimat.fr/actualites/bim… ou dans la rubrique climatologie -> BIM ou à droite de la carte interactive. Programme intéressant pour cette semaine entre baisse des températures, chutes de neige, mistral et tramontane et risque de tempête début de semaine prochaine...
GIF
Français
0
3
18
9.4K
Kévin Fillin
Kévin Fillin@Kevin_Fillin·
Après une semaine exceptionnellement douce, c'est tout le contraire qui se prépare pour cette semaine. Au programme : arrivée des gelées, neige à basse altitude, températures sous les normes et risque de coup de vent à ne pas écarter.
Association Météo Centre - Val de Loire@AssoMeteoCVDL

[Info météo] DÉCROCHAGE D'AIR FROID POLAIRE MARITIME 🔵 APPORTANT UN FROID MODÉRÉ 🔵 EN FRANCE ET SUR LE CENTRE - VAL DE LOIRE CES PROCHAINS JOURS... Un changement "brutal" de temps se profilera ces prochains jours et pour la semaine du 17 au 23 novembre 2025 en France et sur notre @RCValdeLoire : on passera d'une période exceptionnellement douce 🔴 à un temps hivernal 🔵 (bien plus banal pour une deuxième quinzaine de novembre). En effet, un décrochage d'air froid polaire maritime 🔵 se produira ces prochains jours : de l'air froid 🔵 venant du Pôle plongera vers la France mais cet air froid 🔵 sera bien atténué en passant au-dessus de l'océan plus doux. Ainsi, on ne parlera pas d'un froid polaire 🔵 en France et sur nos régions centrales mais tout simplement d'un froid modéré 🔵. On parle uniquement d'air froid polaire maritime 🔵 pour l'origine de la masse d'air. Un premier refroidissement 📉 s'opérera en début de semaine (lundi 17 et mardi 18 novembre) avant l'arrivée d'une masse d'air plus froid 🔵 en seconde partie de semaine (entre les mercredi 19 et samedi 22 novembre 2025). Concrètement, on attendra [enfin] les premières gelées ❄️ généralisées de la saison froide le mardi 18 novembre. Le risque de gel ❄️ persistera jusqu'au week-end mais il faudra préciser la nébulosité (en cas de ciel clair 🌙, la probabilité de gel ❄️ sera importante). ⚠️ Ne vous attendez pas à un épisode neigeux ❄️ digne de ce nom : on aura principalement un risque de giboulées 🌦️ à préciser entre mercredi et jeudi (grésil 🌨️, pluie-neige mêlée 🌧️🌨️ voire neige seule ❄️ = incertain). Un flux plus océanique pourrait s'installer dans le courant du week-end du 22 et 23 novembre mais les incertitudes restent importantes à ce jour (fiabilité limitée ⚠️). Retrouvez notre point météo expertisé de la semaine sur notre site : meteo-centre.fr/meteo-17-au-23… Restez informés : meteo-centre.fr Animation : anomalies des températures prévues à 1500m d'altitude, par le modèle ECMWF entre le 16 et le 23 novembre 2025, sur le bassin atlantique Nord et l'Europe (copyright : wxcharts.com).

Français
0
4
26
5.8K
Kévin Fillin
Kévin Fillin@Kevin_Fillin·
C'est du délire d'avoir ça en cette période de l'année, et n'en déplaise à tout les climatodébilos ;) La semaine prochaine sera tout autre, petit coup de fraicheur avec des températures pouvant temporairement passer sous les normales de saison et n risque de neige à basse altitude sur l'est et nord-est du pays.
Dr. Serge Zaka (Dr. Zarge)@SergeZaka

Depuis hier, c’est le festival des excuses les plus absurdes pour ne pas assumer le changement climatique d’origine humaine. Une sorte de défilé de plaintifs professionnels venues se confesser pour se dédouaner. J’ai eu droit à tout : « c’est les aurores boréales » « c’est les chemtrails » « c’est normal, c’est l’été de la Saint-Martin » « en 1965 on a eu pareil » « c’est juste le foehn, on a ça tous les ans » « tu confonds météo et climat » « tu ne parles que du chaud ». Franchement, merci pour la barre de rire. En réalité, 14 records mensuels ont été battus aujourd’hui, des Pyrénées à l’Alsace. Ce n’est donc pas « juste le foehn », mais le foehn + une masse d’air anormalement chaude amplifiée par le changement climatique. Nous venons de vivre le jour le plus chaud jamais observé aussi tard dans l’année depuis au moins 1900. La répétition de ces événements « exceptionnels » montre précisément que la météo finit par faire le climat. Ces 14 records s’ajoutent aux 650 records de chaleur mensuels déjà battus en 2025, contre… 15 de froid. Il est donc parfaitement normal de parler 45 fois plus des records de chaleur que de froid : je ne « cache » rien, c’est juste que les records de froid n’existent presque plus. Et oui, pour finir, il a bien fait encore 29.0°C dans le sud-ouest de la France aujourd'hui, mi-novembre. ET non, je n'ai pas mis le thermomètre sur l'asphalte, ni encore moins dans mon c*l. Désolé pour la vulgarité mais j’en ai entendu des vertes et des pas mûres. Votre Crocodile Dundee préféré vous le répète : les chiffres, les faits, ça ne ment pas 💪🥰

Français
0
0
6
410
Kévin Fillin
Kévin Fillin@Kevin_Fillin·
@SergeZaka Ils ont pas compris que c'était il y 'a 30-40 ans qu'il faillait agir...
Français
0
0
6
290
Dr. Serge Zaka (Dr. Zarge)
Dr. Serge Zaka (Dr. Zarge)@SergeZaka·
Ironie du sort : le jour même de l’ouverture de la COP30, la moyenne glissante mondiale des températures sur trois ans franchit le seuil de +1,5 °C fixé par les accords de Paris, par rapport à la référence préindustrielle. Pendant qu’on discute (encore), les faits sont là. Ils ne font pas plaisir. Comme un coup de pied au cul climatique.
Dr. Serge Zaka (Dr. Zarge) tweet media
Français
110
333
958
38.2K
Kévin Fillin
Kévin Fillin@Kevin_Fillin·
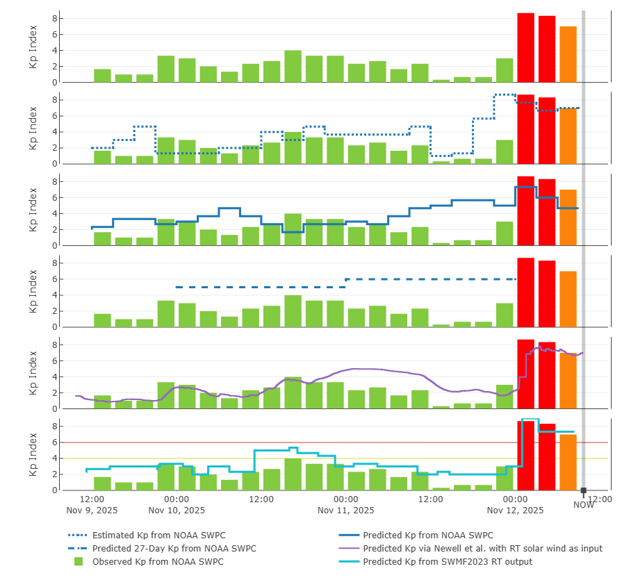
Risque d'aurores boréales en France ce soir et cette nuit ! Normalement, on passe aux choses sérieuses ce soir et cette nuit avec une très forte tempête géomagnétique en prévision (G4). Le calme revient un petit peu actuellement avec une vélocité du vent solaire en baisse et une densité de plasma plus modeste, le Bz quant à lui reste orienté au sud (proche de -15 nT), d'où la persistance d'une certaine activité géomagnétique à Kp 5 voire 6 durant les 3 dernières heures. Notons aussi que la tempête de protons se poursuit (niveau S2), et cela pour encore pas mal de temps. D'ici le milieu ou fin de journée, le vent solaire pourrait augmenter soudainement à l'approche de la CME issue de l'éruption X5, les dernières prévisions tablent sur une vitesse proche de 1000 km/s. De ce fait, si toutes les conditions sont réunies, l'activité géomagnétique devrait augmenter drastiquement d'ici le milieu voire fin d'après-midi. Cette forte voire violente activité géomagnétique devrait ensuite se poursuivre minima jusqu'en milieu de nuit.
Kévin Fillin tweet media
Français
0
0
5
328
Kévin Fillin
Kévin Fillin@Kevin_Fillin·
Nouveau bulletin national publié sur @infoclimat accessible par ici -> infoclimat.fr/actualites/bim… ou dans la rubrique climatologie -> BIM ou à droite de la carte interactive. Douceur remarquable, dégradation du temps en fin de semaine avant une possible baisse des températures en toute fin de week-end.
Kévin Fillin tweet media
Français
0
0
15
4.6K
Kévin Fillin
Kévin Fillin@Kevin_Fillin·
FUNG-WONG est toujours une tempête tropicale, ce qui est impressionnant c'est la taille que fait cette tempête ! Le JTWC reste quand même optimiste sur la naissance d'un puissant typhon (équivalent catégorie 4) juste avant de toucher les Philippines, c'est un peu le scénario privilégié par plusieurs modèles. Situation préoccupante une nouvelle fois pour le pays.
Kévin Fillin tweet media
Français
0
0
2
207
Kévin Fillin
Kévin Fillin@Kevin_Fillin·
Après avoir touché durement les Philippines, le typhon KALMAEGI touche le Viêt-Nam en catégorie 3. D'intenses précipitations (100-150 mm en moins de 12h) et de violentes rafales de vent s'y produisent déjà.
Kévin Fillin tweet media
Français
0
0
2
155
Kévin Fillin
Kévin Fillin@Kevin_Fillin·
@FerusdeGeo La commune de Celles, tout simplement pour le cadre magnifique avec le lac du Salagou.
Français
0
0
2
116
Férus de Géographie
Férus de Géographie@FerusdeGeo·
#GéoDépartement : À quelle commune/ville pensez-vous en premier lorsque l'on vous parle du département de l'Hérault ? Soyez spontané, clair et précis, proposez une seule commune par message, évitez les messages multiples, les GIF et les images sans texte svp.
Férus de Géographie tweet media
Français
1.1K
26
250
122K
Kévin Fillin
Kévin Fillin@Kevin_Fillin·
La situation prévue jeudi sur le sud du pays est à surveiller, un épisode pluvieux probablement marqué est attendu sur le Languedoc-Roussillon et les Cévennes. La configuration synoptique est propice à des pluies fortes et surtout stationnaires (plongement et isolement d'un talweg en cut-off + convergence des vents marquée). Pour le moment, il est encore tôt pour estimer les cumuls attendus, on observe encore des décalages spatio-temporelles et des variations d'intensité des pluies su certaines modélisations. Plus de détails d'ici demain et mercredi surtout.
Kévin Fillin tweet media
Français
0
1
19
1.6K
Kévin Fillin
Kévin Fillin@Kevin_Fillin·
@Meteo_Decrypte Ou je peux trouver le graphique pour le QBO ? ça fait des années que je travail avec des cartes de la stratosphère, mais identifier le QBO sur ces cartes ce n'est vraiment pas simple ! Du coup, je me demandais ou est-ce que je peux trouver ce graphique ? :)
Français
1
0
0
111
Météo Décrypte
Météo Décrypte@Meteo_Decrypte·
La situation devient de plus en plus préoccupante sur les modèles concernant la MJO, à l’approche du franchissement de la barrière maritime. On observe toujours un fort forçage sur le modèle GEFS, tandis que le modèle CEP persiste à maintenir un signal beaucoup plus faible. C’est regrettable, car plusieurs paramètres restent favorables à un scénario hivernal bien différent de ceux des dernières années. En d’autres termes, les signaux actuels penchent vers un hiver potentiellement froid, notamment pour le mois de décembre. Le duo La Niña + QBO-Est va clairement dans ce sens. Cependant, tant qu’un consensus ne sera pas trouvé sur l’amplitude de la MJO en phases 6 et 7, il sera difficile d’aller plus loin dans les projections. D’autant plus que la dynamique actuelle laisse entrevoir une possible diminution des vents zonaux d’ouest vers la mi-novembre, voire un basculement vers des flux d’est, un contexte qui pourrait ouvrir la voie à un SSW précoce (réchauffement stratosphérique soudain) car ça pourrait fragiliser le jet stream laissant davantage de place aux hautes pressions de gagner les hautes latitudes. Espérons une amélioration des signaux d’ici le 7 novembre. Si la situation se clarifie, j'essayerai alors d'entrer davantage dans les détails, mais pour l’instant, la prévisibilité reste très limitée.
Météo Décrypte tweet mediaMétéo Décrypte tweet mediaMétéo Décrypte tweet mediaMétéo Décrypte tweet media
Français
5
3
58
6.6K
Kévin Fillin
Kévin Fillin@Kevin_Fillin·
On observe aussi une nette augmentation du nombre de tempêtes s'intensifiant de 60 nœuds (environ 110 km/h) en 24 heures. Sur deux périodes de 23 ans : 1980-2002, 3 tempêtes ont atteint ce niveau d'intensification ; entre 2003 et 2025, 18 tempêtes (par exemple, MELISSA ) ont franchi ce seuil.
Kévin Fillin tweet media
Français
1
0
2
105
Florentin Cayrouse
Florentin Cayrouse@FloC36·
2 fois plus plus d’ouragans « extrêmes » qu’avant ! Bon nombre de climatosceptiques ont menacé et insulté de nombreux climatologues et météorologues… et pourtant le constat est sans appel : l’intensité des ouragans est + forte qu’avant !
Jeff Berardelli@WeatherProf

2X increase in the most extreme hurrucanes! Yesterday’s post connecting Melissa’s extra intensity to warmer ocean temperatures ruffled some feathers. Some complained that “one storm” doesn’t prove climate change. That’s true. So I dug deeper. Looking at every Cat 4 & 5 in the Atlantic since 1980 (reliable records/ good data gathering) I broke the record into 2 equal parts. 1980-2002 and 2003-2025 What I found surprised even me. The most recent period has more than double the number of most intense hurricanes in the Atlantic!! That’s not coincidence. Humans have become a force of nature. Through greenhouse warming and changes in aerosols (pollution) the oceans have warmed dramatically. For instance, the water under #Melissa was about 4 degrees F hotter than it would have been ~100 years ago. That’s huge! That extra heat powers a higher horse power engine with heavier wind & rain. Is there a natural oscillation (AMO)component too? Perhaps, but IMO it’s tenuous. In post analysis it’s very possible Melissa will be upgraded to the strongest Atlantic hurricane ever given lots of unprecedented data collected just before landfall. With that said, personally I post this info simply because I find it interesting the degree to which we have changed the trajectory of our climate. But - to be clear - I don’t ask that you do anything about it. The way you use this info and take action - or not take action - is not my business. To each his/ her own. Personally I want to be sure I’m not denying reality by ignoring the symptoms. And I want to be sure I’m communicating the science to the public, as my position requires. What you do with the info is your business.

Français
1
0
9
420