
✖️ Lebenson Gallery opens with famous French art trio Obvious for their first solo London show ✖️
📍 148-150 CURTAIN ROAD LONDON
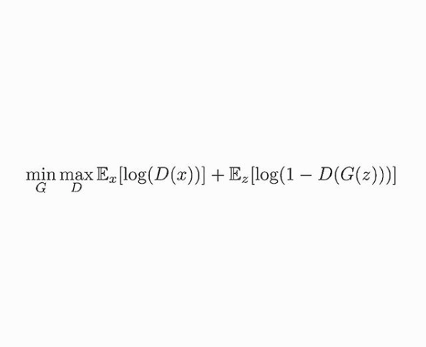
#ArtificialIntelligence #aiart
English
Lebenson Gallery
4 posts

@LebensonGallery
Contemporary art gallery London-Paris.



