Luis Segura
483 posts


Hola @LatinXChem
Les presento mi póster “Synthesis and Anti-inflammatory Effect of simple 2,3-Diarylindoles. On Route to New NSAID Scaffolds”.
#LatinXChemOrg
#Org068
#LatinXChem24

English
Luis Segura retweetledi

Thank you to attendees and presenters for your invaluable contributions to the #ACSViennaSymposium, Catalysis for Organic Synthesis, and to the University of Vienna for partnering with us to host it!
Find the right journal for your research in this field: go.acs.org/alL




English
Luis Segura retweetledi

Our symposium, Catalysis for Organic Synthesis, began today at University of Vienna with innovative, scientific exchanges between leading experts in organic chemistry.
Review the agenda of speakers and sessions: go.acs.org/akw

English

@DiegoRo70181684 @LatinXChem su efecto electroatractor se vio reflejado en el rendimiento.
Los ejemplos 24 y 25 no presentaron problemas de solubilidad, en parte eso coadyuvo a su buen comportamiento en los ensayos. 2/2
Guanajuato, México 🇲🇽 Español

@DiegoRo70181684 @LatinXChem Hola que tal @DiegoRo70181684.
Gracias por tus preguntas, con gusto las responderé.
Los compuestos 1-3 fueron obtenidos a partir de ácidos carboxílicos bajo la metodología A DCC/DMAP. Bajo estas condiciones de reacción y tomando en cuenta que son derivados de haluro, 1/2
Guanajuato, México 🇲🇽 Español
Luis Segura retweetledi

Hola a todos les mostraré este trabajo titulado coloración elecyrofilica mediante yodo(lll)......
Espero les guste.
#LatinXChemOrg #Org003 @LatinXChem

Español
Luis Segura retweetledi

Hola @LatinXChem, les presento mi trabajo titulado Síntesis de 2-O-tolilindoles vía transposición sigmatrópica catalizada con oro(I). #Org009 #LatinXChemOrg @OrgBiomolChem, @EurJOC

Español
Luis Segura retweetledi

Hello! @LatinXChem, i am here presenting my work ‘Síntesis y evaluación in vivo de derivados de metformina fluorobencilados como potenciales drogas en el tratamiento de la diabetes’ at #LatinXChem23 #LatinXChemBio #Bio002 @BioMaterSci, @rsc_chembio, @ChemBioChem @UGTO

Español
Luis Segura retweetledi

Indomethacin, one of the most useful AINEs.
Check our review on the structural modifications carried out along the years.
Congrats Beto !!! @LuisSeeg

English
Luis Segura retweetledi

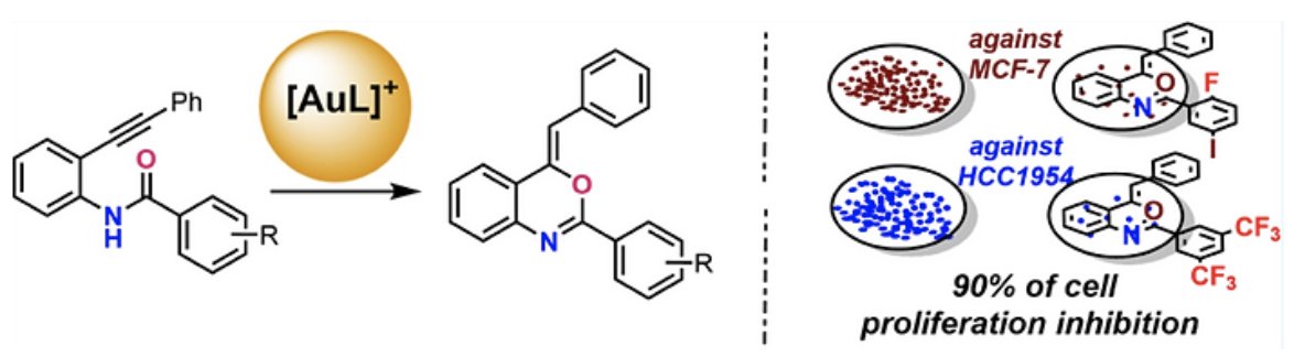
Check our work on the synthesis and discovery of a potent in vitro 4H-Benzo[d][1,3]oxazine derivative against Breast Cancer.
Congrats Beto !!! @LuisSeeg
pubs.acs.org/doi/pdf/10.102…

English
Luis Segura retweetledi

Iodine(III) Reagents for the Oxidative Aromatic Halogenation. Congrats Beto !!! @LuisSeeg
pubs.rsc.org/en/content/art…
Check our review on this topic in colaboration with Professor Dohi @DohiGroup
Selected as Front Cover !!!

English
Luis Segura retweetledi

Iodine(III) / AlX3-Mediated Electrophilic Chlorination and Bromination of Arenes. Dual Role of AlX3 (X= Cl, Br) for (PhIO)n Depolymerization and as the Halogen Source.
Bachelor Work, really? nice and Congrats Beto !!! @LuisSeeg
sciencedirect.com/science/articl…

English

@EdGardner_ @LabSolorio @CsarSolorioAlva @UdeGuanajuato Hi! At this moment, the study of activity in breast cancer cells is being carried out in the cell lines MCF-7, CAMA-1, HCC1954 and SKBR-3. the results will be published shortly. 😀
English

@LuisSeeg @LabSolorio @CsarSolorioAlva @UdeGuanajuato Nice contribution, have you looked at other cancers at all or done anything in Vivo?
English

Hello this is my poster :)
doi.org/10.1021/acsome…
#RSCPoster
@LabSolorio @CsarSolorioAlva @UdeGuanajuato

English

Pleased to share my work in #RSCPoster about Sistematic study of biodegradable polyurethanes for application in water treatment. #RSCMat

English

Presunto feminicida serial de Atizapán recibe vacuna contra covid-19 en penal de Tenango mile.io/3gA7R5Y

Español



