
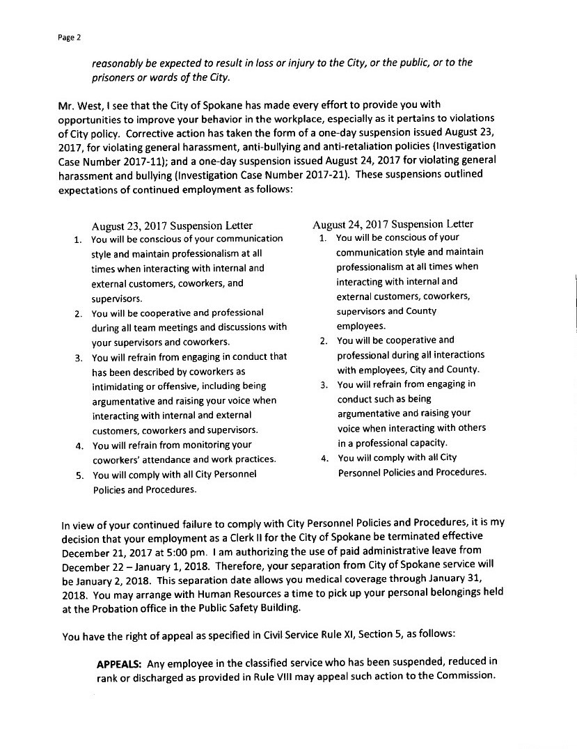
@MelissaKXLY4 Both Laurie Farnsworth and Terri Pfister are retiring in July, is that because of you or me?
English
Buffalo Brian Breen News
23.2K posts

@MCUBuff
https://t.co/i1fNkB0908


The tower was built long before any houses were there and long before kids played soccer nearby. Today, it's coming down after 89 years. kxly.com/news/helicopte…






