mta-lace.bsky.social

672 posts

mta-lace.bsky.social banner
mta-lace.bsky.social

mta-lace.bsky.social

@MTALACE

The main focus of Péter Batáry's group lies in the field of ecology with conservation biological oriented researches.

Vácrátót, Hungary Katılım Eylül 2018
252 Takip Edilen377 Takipçiler
mta-lace.bsky.social
mta-lace.bsky.social@MTALACE·
Social media: Due to Twitter's shift towards polarization, hate, and agitation, our group is moving to Bluesky. Thank you for following us on Twitter; we encourage you to join us on Bluesky for updates. January 2025. #Bluesky: bsky.app/profile/mta-la…
English
0
0
1
42
mta-lace.bsky.social
mta-lace.bsky.social@MTALACE·
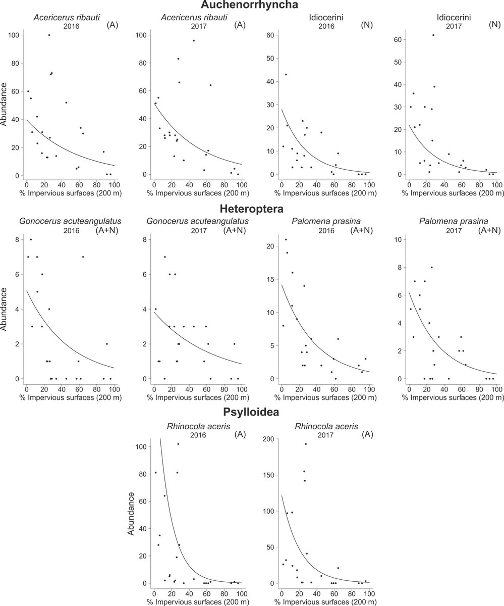
We found that native and specialist hemipterans favor less densely built areas, while exotic, often invasive species thrive in moderately urbanized landscapes with many gardens and parks.
mta-lace.bsky.social tweet mediamta-lace.bsky.social tweet mediamta-lace.bsky.social tweet media
English
0
0
2
50
mta-lace.bsky.social
mta-lace.bsky.social@MTALACE·
#Publication: Dávid's paper has been published in Global Ecology and Conservation with the title: "Sap-feeding insects do not respond uniformly to urbanization: The role of urban green spaces and species characteristics." doi.org/10.1016/j.gecc…
English
1
0
2
70
mta-lace.bsky.social
mta-lace.bsky.social@MTALACE·
We found that nutrient addition in tropical tree seedlings boosts shoot #biomass and growth rates, potentially leading to changes in #community composition and #forest structure due to human-induced nutrient deposition.
mta-lace.bsky.social tweet media
English
0
0
0
28
mta-lace.bsky.social
mta-lace.bsky.social@MTALACE·
#Publication: Péter has published a paper in Current Forestry Reports with the title: "Responses of tropical tree seedlings to nutrient addition: a meta‑analysis to understand future changes in tropical forest dynamics". doi.org/10.1007/s40725…
English
1
0
0
40
mta-lace.bsky.social
mta-lace.bsky.social@MTALACE·
We found that creating uncut refuges in mowed grasslands generally supports higher arthropod abundance and species richness, though the effectiveness can vary depending on factors such as refuge shape, size, and the study's methodology.
mta-lace.bsky.social tweet mediamta-lace.bsky.social tweet media
English
0
0
2
48
mta-lace.bsky.social
mta-lace.bsky.social@MTALACE·
#Publication: Kitti, Robi, Péter together with Jean-Yves Humbert has published a paper in Global Ecology and Conservation with the title: "Effects of uncut refuge management on grassland arthropods – A systematic review". doi.org/10.1016/j.gecc…
English
1
1
4
261
mta-lace.bsky.social
mta-lace.bsky.social@MTALACE·
Our results showed that sown wildflower fields, road verges, and crop fields host distinct plant and arthropod communities, highlighting the need for diverse habitats to support functional groups in farmland restoration.
mta-lace.bsky.social tweet media
English
0
1
1
90
mta-lace.bsky.social
mta-lace.bsky.social@MTALACE·
#Publication: Niki co-authored an article in Ecology and Evolution with the title: "Contrasting patterns of plants, bees, hoverflies and spiders in different habitats in a central European agricultural landscape". doi.org/10.1002/ece3.7…
English
1
0
1
65
mta-lace.bsky.social
mta-lace.bsky.social@MTALACE·
#Conference Tamás presented his research on urban park bird communities in Hungary and Romania during a flash poster session at the Conference of the ELTE Doctoral School of Biology in Budapest, engaging with various experts on his finding. elte.hu/en/
mta-lace.bsky.social tweet mediamta-lace.bsky.social tweet mediamta-lace.bsky.social tweet mediamta-lace.bsky.social tweet media
English
0
0
1
66
mta-lace.bsky.social
mta-lace.bsky.social@MTALACE·
#Retreat Our research group had a fantastic retreat in Zakopane, Poland! We discussed the Frontline project and other initiatives, explored the stunning High Tatra Mountains with expert guides, learned about local flora, fauna, and conservation challenges.
mta-lace.bsky.social tweet mediamta-lace.bsky.social tweet mediamta-lace.bsky.social tweet mediamta-lace.bsky.social tweet media
English
0
0
4
118
mta-lace.bsky.social retweetledi
Journal of Applied Ecology
Journal of Applied Ecology@JAppliedEcology·
Native trees are responsible for the high carbon density in urban natural area forests across eight United States cities 🌲 More monitoring & increased management activities may be crucial to maintaining the high carbon storage of these ecosystems 📊 🔗 doi.org/10.1111/1365-2…
Journal of Applied Ecology tweet media
English
0
10
18
1.5K
mta-lace.bsky.social
mta-lace.bsky.social@MTALACE·
#Award: Dávid was awarded the Jermy Tibor-Prize by the Hungarian Academy of Sciences for his outstanding research activity in theoretical and applied zoology.
mta-lace.bsky.social tweet mediamta-lace.bsky.social tweet media
English
0
0
2
103
mta-lace.bsky.social
mta-lace.bsky.social@MTALACE·
Outside the sessions, attendees enjoyed excellent #birdwatching, exploring the charming city, and savoring delicious local food and drinks, all under beautiful, sunny skies.
mta-lace.bsky.social tweet mediamta-lace.bsky.social tweet media
English
0
0
0
30
mta-lace.bsky.social
mta-lace.bsky.social@MTALACE·
#Meeting: Dávid and Péter attended the Annual General Meeting of the Showcase project (@SHOWCASE_H2020) at the University of Cádiz, Spain. The two-day event featured engaging scientific presentations and fruitful discussions.
mta-lace.bsky.social tweet mediamta-lace.bsky.social tweet media
English
1
0
0
52
mta-lace.bsky.social
mta-lace.bsky.social@MTALACE·
#Conference: Péter gave an invited keynote talk at the Annual Meeting of the German Section of the International Association for Landscape Ecology (IALE) about biodiversity in villages at the Anhalt University of Applied Sciences, Bernburg, Germany.
mta-lace.bsky.social tweet mediamta-lace.bsky.social tweet mediamta-lace.bsky.social tweet media
English
0
0
1
71
mta-lace.bsky.social
mta-lace.bsky.social@MTALACE·
#Meeting Our group participated at the Annual General Meeting of the Centre for Ecological Research, where Kata gave a talk about about green infrastructure, and Riho about meta-analysis on agri-environment schemes. We enjoyed the nice autumn weather. ecolres.hun-ren.hu/en/home/
mta-lace.bsky.social tweet media
English
1
0
1
231
mta-lace.bsky.social
mta-lace.bsky.social@MTALACE·
#Publication: We published a paper from the FunProd Biodiversa project with Péter and Robi as co-authors in Ecological Application with the title "Functional diversity of ground beetles improved aphid control but did not increase crop yields on European farms".
mta-lace.bsky.social tweet media
English
1
2
2
121