Sabitlenmiş Tweet
ますえく@数学
2.9K posts


これはこれでその通りだけど、解析は計算する体力がないとやってられないみたいなこと言われたことあるから、あながち間違いでもない……笑
すい@yusui_math
数学科あるある:数学科は「計算」をしてると誤解されても、否定するのが面倒で流すことがある。
日本語

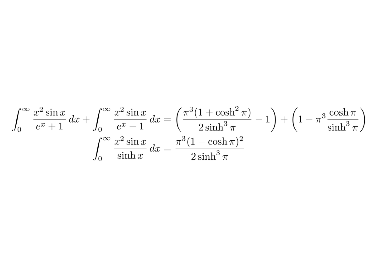
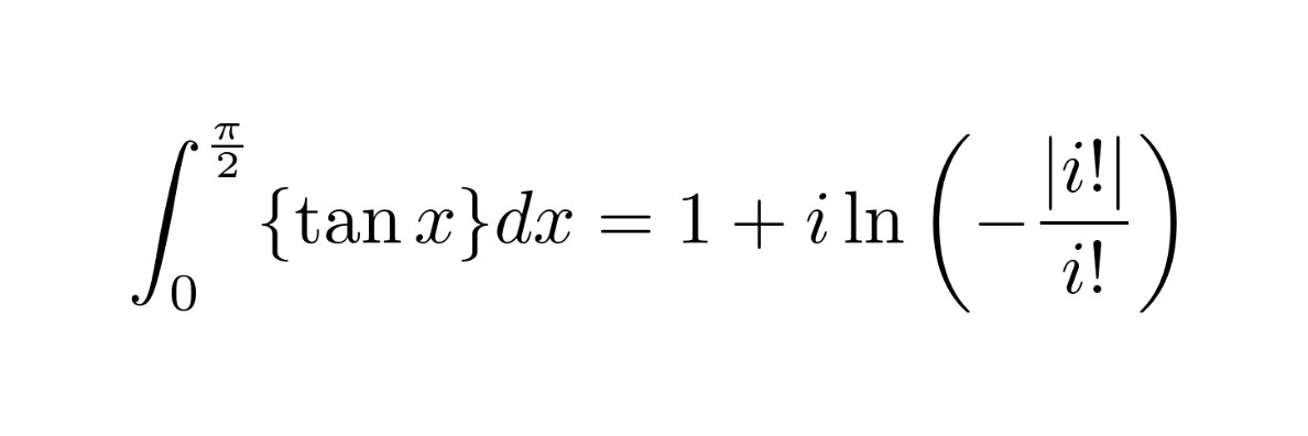
約 5000兆×10⁻¹⁵ 年ぶりに Mathlog に新しい記事を投下しました!!
「Gemini に解いてもらった積分」
mathlog.info/articles/Wyp3A…
日本語


これ、質問したひとの気持ちを考えると「n=1の証明がめちゃくちゃ難しいけどn=k+1は瞬殺」みたいな例を挙げる必要があると思う
このぱげ@konopage0317
高校時代によく受けた数学の質問 『何で数学的帰納法ってn=1のとき確認しなきゃいけないの?書かなくていい?』
日本語







