Sabitlenmiş Tweet
Nico Almiñana⚽️
8K posts

Nico Almiñana⚽️
@NCO4
PF S&C Academia Valencia CF
Picanya, España Katılım Eylül 2010
2K Takip Edilen1.9K Takipçiler

🧠📝
Jose Naranjo@Jotaaene
He escrito sobre la comunicación no verbal en el fútbol, ser reconocible para el propio equipo e indescifrable para el rival. Qué es y cómo favorecer que emerja en el entrenamiento: @jotaaene/la-comunicación-no-verbal-en-el-fútbol-5a87cb0d63b4" target="_blank" rel="nofollow noopener">medium.com/@jotaaene/la-c…
ART
Nico Almiñana⚽️ retweetledi

🦇 La #AcademiaVCF presente el el Sport Data Forum
➡️ El Departamento de Videoanálisis y Datos y Departamento de IT participaron en Sevilla en esta importante cita

Español
Nico Almiñana⚽️ retweetledi

A neuroscientist predicted who would develop chronic pain with 85% accuracy.
He didn't look at their backs. Didn't look at their joints. Didn't scan for tissue damage.
He scanned their brains.
Turns out chronic pain lives in the brain regions that control emotion, memory, and learning. Not in the regions that process tissue damage.
Pain isn't just something you feel. It's something your brain learns to produce. And what the brain learns, it can unlearn.
66% of patients in a JAMA Psychiatry trial became pain-free through brain retraining. No drugs. No surgery. Results held at the 1-year follow-up.

English
Nico Almiñana⚽️ retweetledi

🔚 FINAL
✅ Gran victoria del #VCFMestalla que ha sido muy superior a la @uesantandreu y ha podido obtener una victoria todavía más amplia
⚽️ Rodrigo Gamón
⚽️ @mariodmngzz10
⚽️ @aimarblazquez10
#VCFMestallaUESantAndreu

Español
Nico Almiñana⚽️ retweetledi
Nico Almiñana⚽️ retweetledi

🔚 FINAL
✅ Gran victoria del #VCFMestalla que se rehízo al tanto inicial del @TerrassaFC para acabar goleando al equipo catalán
⚽️⚽️ @mariodmngzz10
⚽️⚽️ Víctor JR.
⚽️ @aimarblazquez10
Seguimos, FAMILIA ‼️‼️
#VCFMestallaTerrassa 🦇🔴⚪️

Español
Nico Almiñana⚽️ retweetledi
Nico Almiñana⚽️ retweetledi
Nico Almiñana⚽️ retweetledi

Less than one-quarter of the population performs resistance training on a regular basis. Time is considered the primary barrier to participation.
It shouldn't be.
An emerging body of evidence shows that as little as two 30-minute resistance training sessions per week can produce meaningful improvements in strength, muscle hypertrophy, functional capacity, and various health-related outcomes.
Several years ago we published a paper titled, "No Time to Lift? Designing Time-Efficient Training Programs for Strength and Hypertrophy" (PMID: 34125411) that detailed time-saving strategies for workouts. Here are some of the highlights:
1. Training efficiency can be enhanced by emphasizing bilateral, multijoint exercises performed through a full range of motion.
2. Incorporating techniques such as supersets, drop sets, and rest-pause training can reduce session duration by about half compared to traditional approaches, while still maintaining overall volume load.
3. When using moderate to higher repetition ranges, specific warm-ups may be largely unnecessary, and cool-downs are not essential.
4. Resistance training performed through a full range of motion can improve flexibility, minimizing the need for dedicated stretching unless further gains in range of motion are required for daily activities.
pmc.ncbi.nlm.nih.gov/articles/PMC84…
Bottom line: Just lift 💪
#noexcuses

English
Nico Almiñana⚽️ retweetledi

Fatigue is not just a muscle problem. It is also an effort regulation problem.
That is why this paper stood out to me. It fits a point I keep coming back to: people often frame fatigue as only peripheral or physiological, but this study shows that the way an athlete interprets and regulates effort in real time can materially change how long they can keep going. The paper is built on the psychobiological model of endurance performance, and the authors are very clear in their argument. In highly motivated subjects, the key limiter is not simply muscle fatigue by itself, but the perception of effort. In their framing, exercise stops either when the required effort rises beyond what the athlete is willing to continue producing, or when it reaches a point that feels impossible to sustain. That is an important shift. The question is not just, “How tired are the muscles?” It is also, “How is the athlete experiencing and negotiating the rising cost of the task?”
What they did was simple, but strong. Recreationally trained participants completed constant load cycling tests to exhaustion at 80% of peak power output. One group used a structured motivational self talk intervention with individualized phrases they practiced during training. The control group did not. What they found is what makes this paper matter. The self talk group improved time to exhaustion from 637 ± 210 seconds to 751 ± 295 seconds, while the control group showed no improvement. They also reported lower perceived exertion at the same relative point in the task. That distinction matters. Self talk did not make the endpoint easy. It made the climb toward that endpoint more manageable, which allowed them to keep going longer.
That is why I think this matters in the training process across every community. Hard training, applied appropriately, is not just about building physical qualities. It is also part of building the ability to deal with discomfort, regulate effort, and stay engaged when the task starts pressing back. I have experienced that with self talk in endurance work, but also in heavy resistance training. There are times, if you are doing it right, you have to talk to yourself before you even walk into the gym. No, that is not “just a workout.” If someone thinks that, they probably do not understand that part lol. That is what makes this paper useful. It reinforces that performance is not only about what the body can produce, but also about what the athlete can manage, interpret, and continue to give when fatigue starts getting loud.

English
Nico Almiñana⚽️ retweetledi
Nico Almiñana⚽️ retweetledi

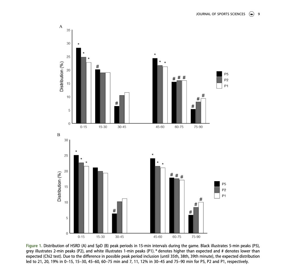
🆕"This analytical approach examined whether the phase of the match influences the max distance covered at HSR & sprint distance during the max periods of 5-2-1 minute & the post-peak periods"
👉M.Randers @PeterKrustrup M.Mohr et al. 2026 🇩🇰
📂Open Access: #d1e428" target="_blank" rel="nofollow noopener">tandfonline.com/doi/full/10.10…


English
Nico Almiñana⚽️ retweetledi

Lo que dice Mendilibar es algo que muchos venimos defendiendo. No es cuestión de tiempo, es cuestión de ritmo, y el tiempo parado no es la solución. No sé puede permitir 1' entre faltas, 20" de saques de banda, 30" en cada corner, parar por todo. El fútbol necesita continuidad.
Yo de cada partido calculo no solo el tiempo efectivo si no el índice de continuidad.

𝐒𝐞𝐫𝐠𝐢𝐨 𝐍𝐚𝐯𝐚@SergioNavaD
Facto tras facto. Muy de acuerdo con esto de Mendilibar.
Español

Pagaría por ver a Milner cada día, debe ser el claro ejemplo de disciplina y foco en lo que te apasiona.
24 temporadas en la Premier, que animalada.
Premier League@premierleague
From 2002 to 2026 📆 James Milner has set the all-time appearances record in the Premier League!
Español
Nico Almiñana⚽️ retweetledi

🦇 La #AcademiaVCF, vivero de talento internacional
2⃣5⃣ internacionales esta temporada
1⃣ de cada 7⃣ jugadores en edad seleccionable es internacional
🔗 valenciacf.com/la-academia-de…
#VCFWorld 🇪🇸🇦🇷🇲🇦🇭🇺🇷🇴🇺🇦🇱🇹🇷🇴

Español
Nico Almiñana⚽️ retweetledi

Scorely v1
La tengo ampliada, 11s, listados, alarmas, listas personalizadas, comparativas, convocatorias....
Si llegamos a 100 me gustas la público gratis para to' quisqui.

Jesús Lagos@Vdot_Spain
Scorely Andaba yo anoche trasteando y pensé "con lo q le mola a la gente lo de los rating de sofascore y demás ¿por qué no montar algo rápido con vibecoding maligno?" Pues Scorely marchando.
Español











