Sabitlenmiş Tweet
Publications of the Astron Society of the Pacific
1.3K posts

Publications of the Astron Society of the Pacific
@PASPJournal
Publishing original research in astronomy & astrophysics since 1889. Currently led by Editor-in-Chief @jeffreygmangum Tweets from the EIC are signed – JGM
Washington, DC Katılım Ekim 2017
252 Takip Edilen330 Takipçiler

A recent open-access article published in @PASPJournal presents a multi-band light curve modeling analysis of four W UMa-type contact binary stars which revisits the energy transfer mechanisms and luminosity behavior in these systems. iopscience.iop.org/article/10.108…. -JGM

English

A recent open-access article published in @PASPJournal presents a global view of post-interaction White Dwarf-main sequence binary stars. iopscience.iop.org/article/10.108…. -JGM

English

In a recent open-access article published in @PASPJournal an analysis of the spatial distribution of impact craters on Mars is used to reveal the underlying processes related to the planet's surface history. iopscience.iop.org/article/10.108…. -JGM

English

A recent article published in @PASPJournal describes the discovery of three Saturn-mass planets identified through microlensing signals from anomalies on the wings of their light curves. iopscience.iop.org/article/10.108…. -JGM

English

A recent open-access article published in @PASPJournal describes the analysis of the LIGO/Virgo/KAGRA neutron star merger candidate S250206dm using Zwicky Transient Facility observations, strongly constraining the identification of this object. iopscience.iop.org/article/10.108…. -JGM

English

A recent article published in @PASPJournal describes an analysis of the microlensing event KMT-2016-BLG-1337L, presenting evidence that this system is comprised of a Saturn-mass planet orbiting within a binary system of low-mass stars. iopscience.iop.org/article/10.108…. -JGM

English

A recent open-access article published in @PASPJournal describes a detailed TESS-based light curve modeling analysis of the fundamental physical and orbital properties of 27 W UMa-type contact binary star systems. iopscience.iop.org/article/10.108…. -JGM

English

A recent open-access article published in @PASPJournal presents a transit timing variation analysis of 20 hot Jupiter exoplanet systems with the goal of identifying orbital decay signatures in these systems. iopscience.iop.org/article/10.108…. -JGM

English

A recent open-access article published in @PASPJournal describes an efficient framework for automatic carbon star detection using machine learning techniques on LAMOST DR9 and Gaia DR3 measurements. iopscience.iop.org/article/10.108…. -JGM

English

A recent article published in @PASPJournal presents a performance study of an intelligent astronomical CMOS mosaic camera. iopscience.iop.org/article/10.108…. -JGM

English

A recent open-access article published in @PASPJournal describes CARTA, the Cube Analysis and Rendering Tool for Astronomy. iopscience.iop.org/article/10.108…. -JGM

English

A recent open-access article published in @PASPJournal presents a machine learning-driven analysis of kinetic Sunyaev-Zel'dovich (kSZ) effect maps to predict the Cosmic Microwave Background (CMB) optical depth. iopscience.iop.org/article/10.108…. -JGM

English

A recent article published in @PASPJournal provides an analysis of and correction method for the nonlinearity in H4RG-10 near-infrared detectors at elevated temperatures. iopscience.iop.org/article/10.108…. -JGM

English

A recent open-access article published in @PASPJournal presents an analysis of the dynamical interactions and habitability of the planets in the TOI-700 multi-planet system. iopscience.iop.org/article/10.108…. -JGM

English

A recent open-access article published in @PASPJournal describes the spectral, polarimetric, and UV diagnostic capabilities for imaging Venus-like worlds with the Habitable Worlds Observatory. iopscience.iop.org/article/10.108…. -JGM

English

A recent open-access article published in @PASPJournal presents a photometric analysis of the interstellar comet 3I/ATLAS during its pre-perihelion period. iopscience.iop.org/article/10.108…. -JGM

English

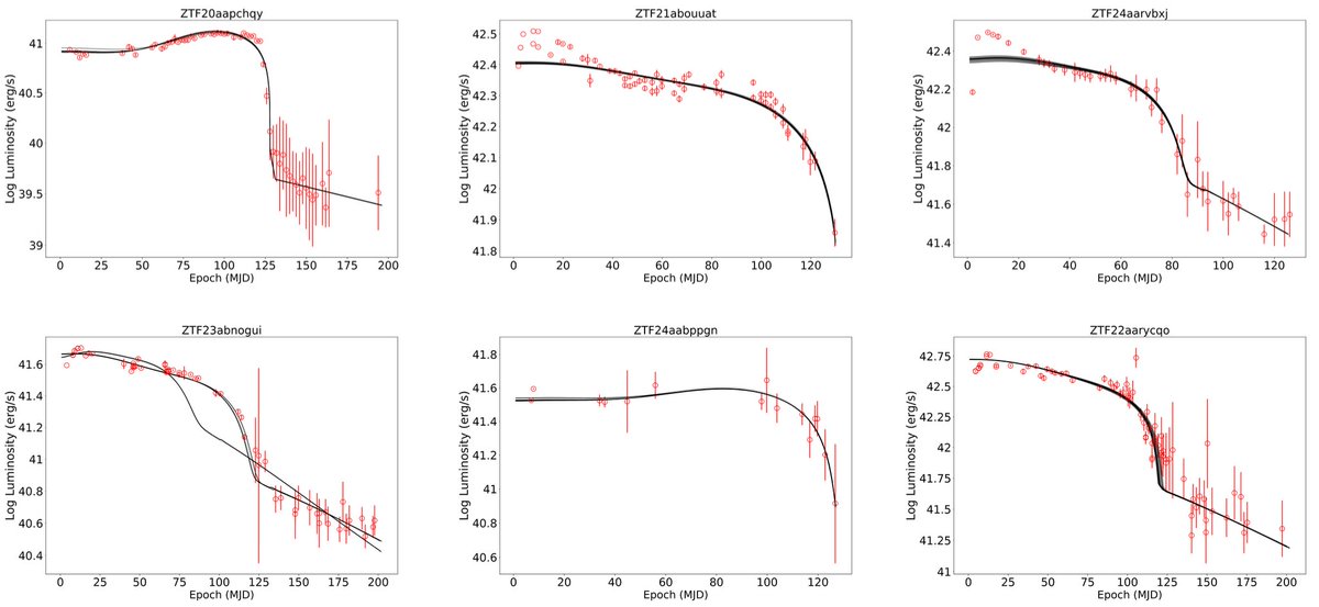
A recent open-access article published in @PASPJournal presents a light curve analysis of the low-luminosity Type IIP supernovae measured in the Zwicky Transient Facility Census of the Local Universe survey. iopscience.iop.org/article/10.108…. -JGM

English

A recent open-access article published in @PASPJournal describes a recent VLTI/GRAVITY study of Kappa Velorum, one of the brightest stars in the Southern sky, which has allowed for the characterization of its luminous companion. iopscience.iop.org/article/10.108…. -JGM

English

A recent open-access article published in @PASPJournal describes a forward modeling analysis of the observed population of intermediate-mass stripped stars in the Magellanic Clouds discovered via their UV excess. iopscience.iop.org/article/10.108…. -JGM

English

A recent article published in @PASPJournal presents a design overview and performance evaluation of the R2Pub telescope system. iopscience.iop.org/article/10.108…. -JGM

English