Piula - TV3📺3️⃣

2.6K posts

Piula - TV3📺3️⃣ banner
Piula - TV3📺3️⃣

Piula - TV3📺3️⃣

@Piula1714

🔎Perfil de crítica constructiva a @tv3cat. 📝Piulem als hastags de #Tv3. 💣Apartidistes i putaespanyistes. 🌏 Països Occitano-Catalans.

C/Tv3. Sant Joan d'Espí. CAT Katılım Mart 2021
2.3K Takip Edilen3.3K Takipçiler
Sabitlenmiş Tweet
Piula - TV3📺3️⃣
Piula - TV3📺3️⃣@Piula1714·
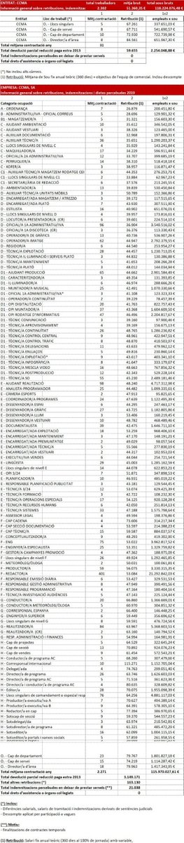
Això serà la nostra bíblia. Els salaris de la CCMA ("la corpo") :
Piula - TV3📺3️⃣ tweet media
Català
25
98
126
0
Piula - TV3📺3️⃣ retweetledi
🦎
🦎@_therbi·
De RES serveix q diguis q estimes el català si el 95% de les teves cançons són en castellà,si dius q sents en català però compons en castellà,q t'encanta Bcn i a la Mercè cantes en castellà i les estrenes les fas a Madrid. Si fas q un dels grans símbols catalans canti en castellà
VERSIÓ RAC1@versiorac1

🎙️ L'escolania de Montserrat canta en castellà. 👉 La col·laboració amb Rosalia al tema 'Magnolias' descriu com seria el funeral de la cantant. En parlem amb l'exdirector de l'Escolania, Bernat Vivancos. 📻 rac1.cat/directe

Català
59
478
2.5K
56.9K
Piula - TV3📺3️⃣
Piula - TV3📺3️⃣@Piula1714·
@adelaarteta Saps que et poden demunciar per penjar aquesta foto sense permís i acusant algú? Delicte d'odi i injuries podrien ser acusacions plausibles que t'enviin a 3 o 4 anys de periples judicials, advocats i despeses interessants 🍿🍿🍿
Català
3
1
105
3.1K
Adela
Adela@adelaarteta·
Agresión hoy en la UAB por este chico. Un fascista contra una chica.
Adela tweet mediaAdela tweet mediaAdela tweet media
Español
892
1.8K
9K
2.6M
Piula - TV3📺3️⃣
Piula - TV3📺3️⃣@Piula1714·
@orriolsderipoll Et perden les formes. No pot parlar així ni una alcaldesa, ni una diputada, dirigint-se a qui pensa diferent. Així NO Sílvia ☝️
Català
3
0
1
452
Sílvia Orriols
Sílvia Orriols@orriolsderipoll·
Gran seguiment de la vaga a Ripoll... Pallassos...
Sílvia Orriols tweet media
Català
557
896
5.3K
129K
Salvador Illa Roca
Salvador Illa Roca@salvadorilla·
Convivència és reconèixer i garantir la pluralitat i la diversitat d’Espanya, dels seus territoris i de les seves llengües. En un moment com aquest, de canvis tan profunds, hem de protegir aquesta Espanya de tots i totes i posar l’accent en allò que ens uneix. #12Octubre
Català
677
127
456
114.4K
Yossi Eisenstadt
Yossi Eisenstadt@Yossi_Eisen·
Felicidades, ESPAÑITA querida por ser tan hermosa y albergar al maravilloso pueblo español y gracias por ser mi segundo hogar. SÍ hay mucho que celebrar. España, españoles, os quiero.
Yossi Eisenstadt tweet media
Español
26
27
240
4.3K
Irene González
Irene González@irene_freedom·
El 12 de octubre es un día en el que toda Hispanoamérica debiera dar las gracias a España por llevar la civilización y la fe verdadera más allá del fin del mundo en la más gloriosa gesta de la Historia. Proclamar en ambos lados ¡Viva Cristo Rey! Nada por lo que pedir perdón. 🇪🇸
Irene González tweet media
Español
307
412
1.8K
29.6K
Piula - TV3📺3️⃣
Piula - TV3📺3️⃣@Piula1714·
@Albertopugilat "Atiborrados de productos de halloween" dice, y pones este trapo de los terrores. Como nacion soys un puto chiste malo 🤣
Español
2
0
23
2.1K
Alberto Pugilato
Alberto Pugilato@Albertopugilat·
En el colegio de mis hijos no les han mencionado nada del día de la Hispanidad (Día de la raza), sin embargo todas las tiendas están atiborradas de productos de Halloween. Pese a todo, mis hijos saben que hoy es el día Nacional. Venceremos 🇪🇸
Alberto Pugilato tweet media
Español
451
642
4.8K
106K
Piula - TV3📺3️⃣ retweetledi
Xavier Martínez-Gil▶️
Xavier Martínez-Gil▶️@xaviermartinezg·
A veure si així anem entenent millor el suport entusiasta de l'esquerra espanyola a la causa Palestina i del zero suport a la causa catalana
Xavier Martínez-Gil▶️ tweet media
Català
54
580
915
17.7K
Piula - TV3📺3️⃣ retweetledi
Ton Bpsc
Ton Bpsc@pilgrimofbeauty·
Aquesta extrema esquerra que vol aturar-ho tot per Gaza fa 5 anys que té un presoner d'extrema esquerra tancat en presó, en Pablo Hasel, i no ha mogut un dit per ell. Quina camaraderia!
Català
33
811
2.1K
18.7K
Piula - TV3📺3️⃣ retweetledi
En Comú NO Podem
En Comú NO Podem@NoEsPotCat·
El senyor de la foto, que és a Gaza promocionant-se per les properes eleccions municipals de Barcelona, és el mateix senyor que el 2017 va callar com un puta, es va amagar, no va moure ni un dit i va blanquejar la repressió i violència espanyola contra Catalunya, oi? #NOESPOT
En Comú NO Podem tweet media
Català
88
881
2.6K
31.8K
Piula - TV3📺3️⃣ retweetledi
Jair Dominguez
Jair Dominguez@sempresaludava·
Bon dia i puta espanya.
Català
174
866
5.8K
121.8K
Piula - TV3📺3️⃣ retweetledi
Òscar Andreu
Òscar Andreu@OscarAndreu·
Catalunya té dret a l’autodeterminació. I encara que Espanya fos una democràcia consolidada on no s’apallissen votants, no es tanquen diaris, no s’espien o es torturen rivals, no s’enterra gent en calç viva, etc. els catalans continuaríem tenint aquest dret. #1Oct
3CatInfo@3CatInfo

De Cardona a Barcelona, les càrregues de la policia espanyola es repeteixen en diferents punts de votació #1OTV3 bit.ly/2yPDK2r

Català
141
4K
7.9K
237.7K
Piula - TV3📺3️⃣ retweetledi
Antonio Baños
Antonio Baños@antoniobanos_·
El coletas. Quan va ampliar el Canal Red, va obrir seu a Mèxic amb el discurs de que latam i esp eren la mateixa cultura. No va crear canal red en català, euskera o gallec tot i ser Espanya. Zihuatanejo o Cochabamba son més propers que Inca, Elx o Salt La llengua és la pàtria
Català
21
148
647
18.4K
Piula - TV3📺3️⃣ retweetledi
Lucia Etxebarria
Lucia Etxebarria@LaEtxebarria·
Poco sé sobre @orriolsderipoll , pero tengo que reconocer que, al menos en este discurso, tiene toda la razón. No conozco el resto de su discurso, no sé mucho más sobre quién es ella , pero ... El salafismo es un discurso de odio en sí mismo.
Español
2
313
1.5K
78.5K
Piula - TV3📺3️⃣ retweetledi
Diliman Abdulkader
Diliman Abdulkader@D_abdulkader·
The Spanish government recognizes a two-state solution for Palestine but doesn’t recognize a two-state solution in its own country for Catalonia. We can’t take these people seriously.
Diliman Abdulkader tweet media
English
877
3.8K
16.6K
462.9K