Royal High School Maths
330 posts

Royal High School Maths
@RHSBMaths
All the latest news from the Maths Department @royalhighbath @GDST #girlsmakingtheirmark







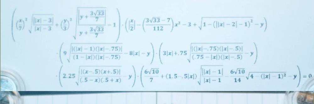
Question of the day 10.04.2022

A brief trip to London to celebrate @PinkerStraws winning 2nd prize for a mathematics essay she wrote. Great job, Sophie, and great job @RHSBMaths! Here’s what she wrote, in case you fancy a dose of reciprocals 😎



Two squares. What’s the shaded area?



Four squares. What fraction of the total area does the yellow triangle cover?







This isosceles triangle has been split into four smaller ones. What’s the missing angle?

Congratulations to our IB Diploma students who have done phenomenally well, achieving an average point score of 40 out of a possible total of 45. 🎉😀 bit.ly/3wlAIQa #IBResults #GDSTResults #GirlsMakingTheirMarks












