R²Maths
57 posts

R²Maths
@Rsquaresms
Explaining difficult maths questions simply & interesting. Improving & enhancing students' understanding of maths concepts is our prime & ultimate goal.
Math & Further Pure Math Tutor Katılım Haziran 2022
160 Takip Edilen23 Takipçiler

@FirstBankngr Hi, I need access to online transition, have tried severally but failed.
English

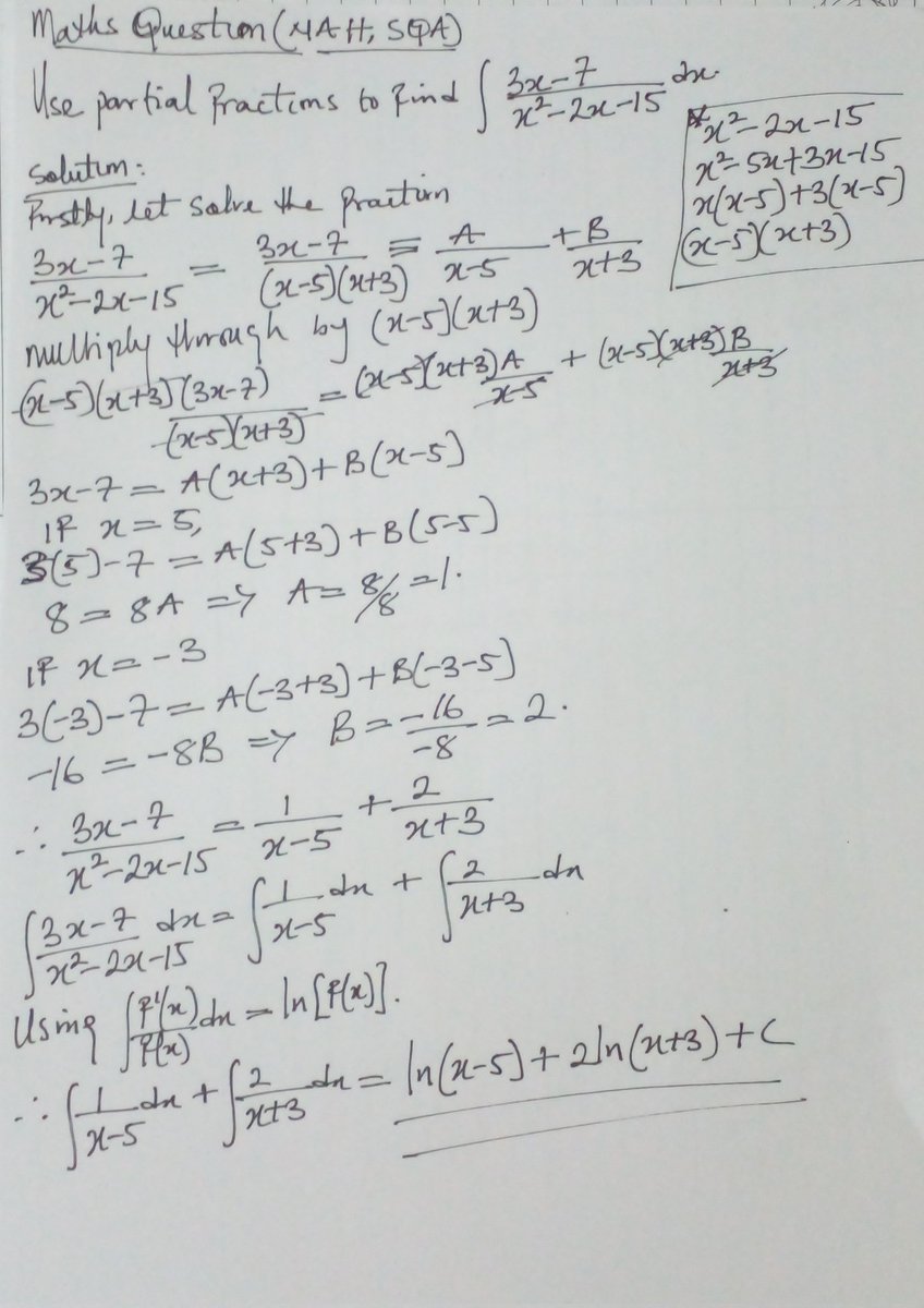
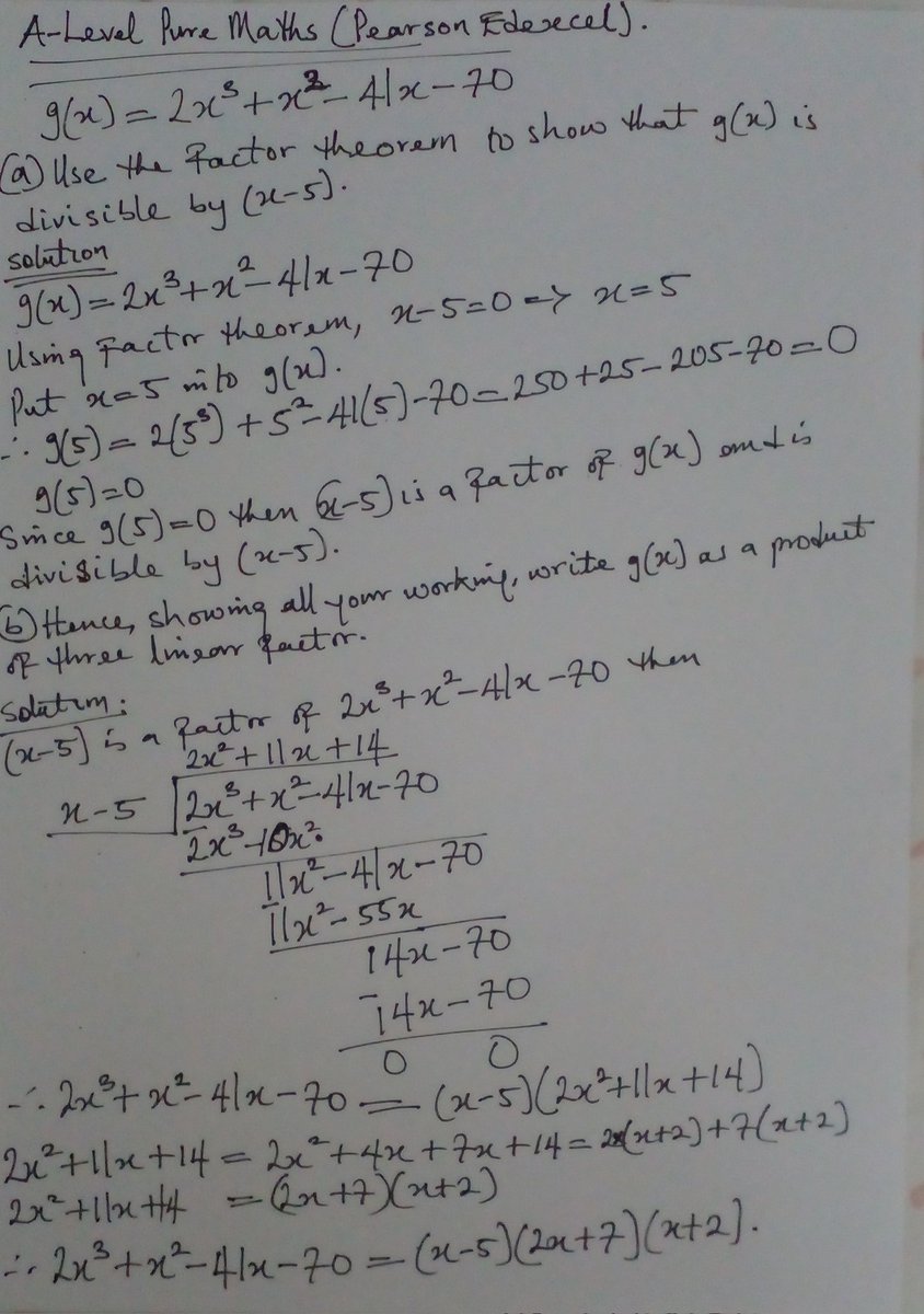
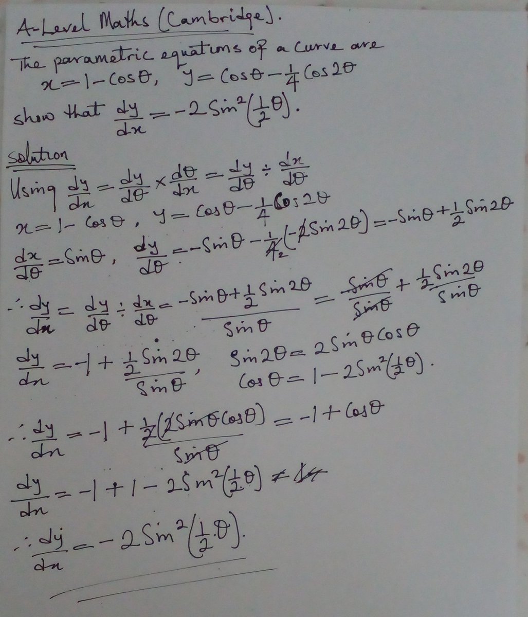
Maths & Further Maths Question with Solution. Contact us & let's discuss how will can assist you with your inability to understand maths & statistics concepts. #ALevelstudent #SAT #SQA #IBDP #gcse #igcse #ASLevelstudent




English

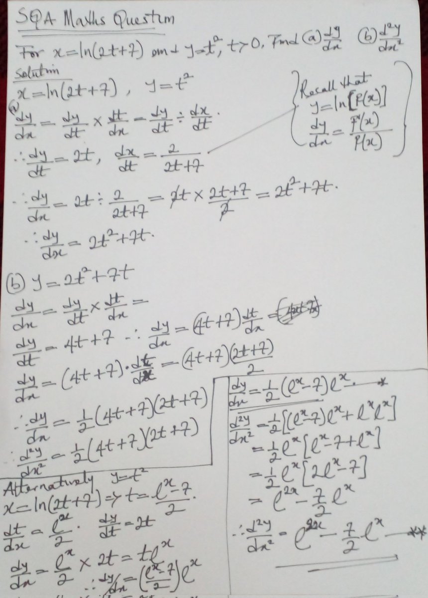
SQA & IGCSE Maths Question with Solution. Contact us & let's discuss how will can assist you with your mathematics challenge. #aslevelstudent #gcse #igcse_student #IBDP #SQA #SAT #ALevelstudent



English

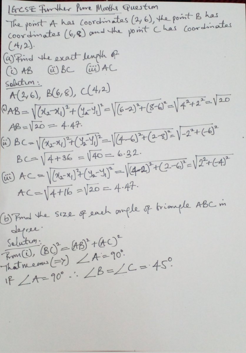
Maths Question with Solution. Contact us & let's discuss how will can help you with your maths challenge.#secondaymath #secondaryschool #SQA #SAT #IBDP #igcse_student #Alevel #gcse #aslevelstudent



English

@Prof_Masiga That is a good idea. I will surely market your site. Thanks
English

@Rsquaresms Okay. Kindly support me market my site in those regions. I'll be marketing yours these sides alongside mine. We can grow together.
English

@Rsquaresms Hi. Hallo how is the market over there. .
I also run one..henoltutors.com you welcome to have a look and share out.
English




















