
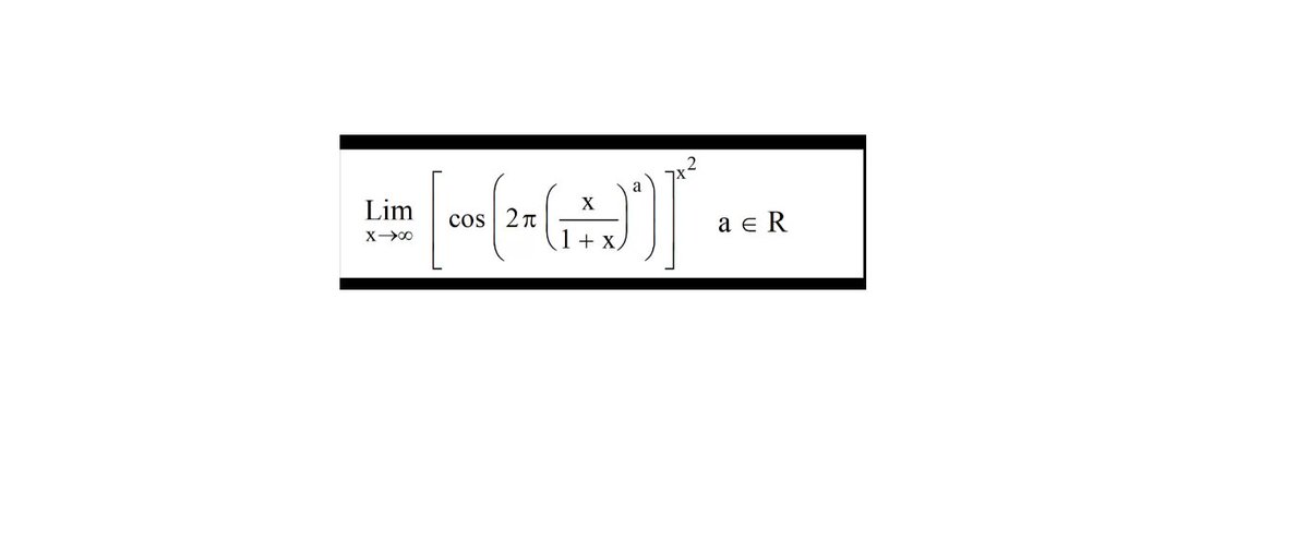
@blackpenredpen Hey! Can you please help me out with this limit problem? Can you please make a video explaining its solution?

English
Piano Land
265 posts

@SBaori
Love playing keyboard, I like physics and math. Check out my YouTube channel here for some awesome covers - https://t.co/8JQB7JyhiQ




