SDSU Extension Agronomy
253 posts

SDSU Extension Agronomy
@SDSUExtCrops
Our specialists give information about economics, insects, diseases, soils, weeds, cropping systems, fertilizers, and other crop management decisions.
Katılım Ocak 2020
34 Takip Edilen299 Takipçiler

It’s Soil and Fertilizers week with SDSU Ext. Crop Hour! (10-11, T, W, R). Topics include: New oat N recs, biological N fixation and N management in western SD. extension.sdstate.edu/event/crop-hour

English

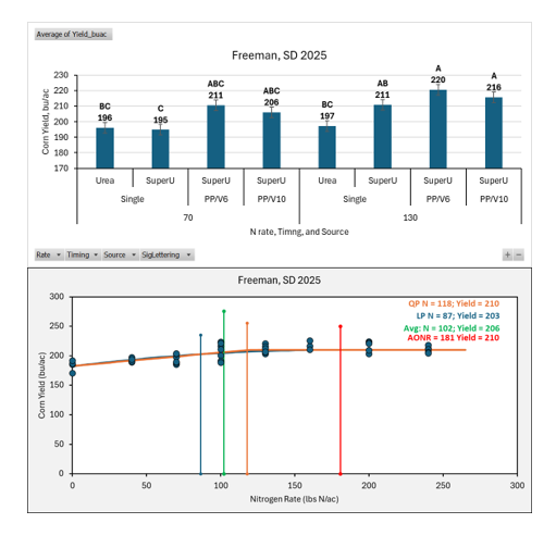
Want to know the right N fertilizer rate, source, and timing to use on your corn fields like the results in these images. The soil fertility extension program is looking for farmer fields to complete this kind of research. To learn more: e-mail: jason.d.clark@sdstate.edu

English

It’s Precision Ag week with SDSU Ext. Crop Hour! (10-11, T, W, R). Topics include: Precision N management, using crop as a biosensor, drone-driven precision ag. extension.sdstate.edu/event/crop-hour

English

It’s Markets, Economics and climate week with SDSU Ext. Crop Hour! (10-11, T, W, R). Topics include: Crop insurance and marketing, land values, climate change adaptation, ag policy outlook, and 2026 growing season outlook. extension.sdstate.edu/event/crop-hour

English

It’s Horticulture week with SDSU Ext. Crop Hour! (10-11, T, W, R). Topics include: SD specialty crop production, vegetable diseases, specialty crop producer panel. extension.sdstate.edu/event/crop-hour

English

It’s Plant Pathology week with SDSU Ext. Crop Hour! (10-11, T, W, R). Topics include: Soybean cyst Nematode, wheat streak mosaic virus, and southern rust. extension.sdstate.edu/event/crop-hour

English

It’s Insect Pest Management week with SDSU Ext. Crop Hour! (10-11, T, W, R). Topics include: Soybean gall midge and Dectes stem borer, red sunflower and alfalfa weevil, and corn rootworm. extension.sdstate.edu/event/crop-hour

English

It’s Soil and Water week with SDSU Ext. Crop Hour! (10-11, T, W, R). Topics include: Cover crops and soil health, tile drainage systems, and P variability. extension.sdstate.edu/event/crop-hour

English

Crop Hour has begun! Have you signed up for our largest virtual event of the year? Visit extension.sdstate.edu/crop-hour to sign up at no cost! Interested in CCA credits? We offer a total of 24 credits throughout the series- $30 per week (3 CEUs) or $200 for the entire series.

English











