Thomas W.
81.5K posts

Thomas W.
@ThomasWillNot
Likes water and windy days, but not together Knows animals Dislikes spicey foods Studies muzak & life. Retwetes r not endoarsement Likes r not always favourite

We’re saying goodbye to the Sora app. To everyone who created with Sora, shared it, and built community around it: thank you. What you made with Sora mattered, and we know this news is disappointing. We’ll share more soon, including timelines for the app and API and details on preserving your work. – The Sora Team

More and more people are saying this.

somehow we lost galas and ended up with dating apps

why does X move the “copy link” button every fucking month


My wife & I have had more people come us to us in public & ask about masking, & we inform them & you can see the gears turn when we say “it never really went away, they just want the economy to keep going”. Also notice people masking at med places seeing us mask too.

1 scoop of modified citrus pectin in the morning on an empty stomach did more for my gut than anything else

A line in a Nazi propaganda movie centered around the “waste” of disability care is “What would perish, according to the laws of nature, is protected and cared for” - almost every example of a disabled person from our earliest history shows community care, without obligation.


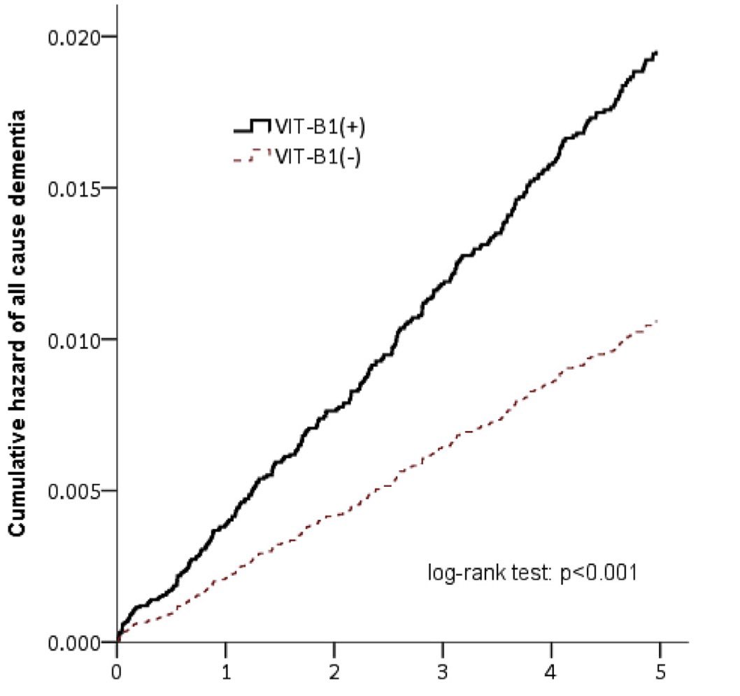
Robert Mueller passed away 3 days ago of Parkinson’s. This seems like an appropriate time to remind people of Costantini’s high dose thiamine therapy for Parkinson’s.

here's a good example of the "disjointing experience" in a tiktok video i just came across. this woman is doing rotations in a hospital & describes feeling a "post covid lobotomy" after every covid infection she has

Thiamine (HCl) prevents negative symptoms of hypermetabolism due to NDT treatment—such as the rapid heartbeat, nervousness and digestive disturbances. “the administration of desiccated thyroid to depressed psychotic patients was associated with tachycardia, restlessness and apprehension of a degree which necessitated discontinuance of medication. Other patients, however, who previously had been given thiamine hydrochloride, tolerated the administration of desiccated thyroid well. They were less apprehensive and agitated, although the increase in the metabolic rate and in the cardiac rate were as great as in the previous group of patients.” Doses used in the study varied from a few hundred micrograms/day up to 20mg. “The data provide additional evidence that the function of the thyroid hormone is primarily to mobilize metabolites for oxidation by enzyme systems of the organism.” (Williams, 1943)

Sort of rediscovered praying from first principles recently and it's become such a nice daily practice in humility/surrender, gratitude, receptivity & acknowledgement of hopes/desires.

i do anticipate we're going to see more and more people come around on masks & covid mitigation. and many (though not all) of those people will never apologize for spending years ignoring and belittling the people who tried to get them to care


"In a crystal we have clear evidence of the existence of a formative life principle, and though we cannot understand the life of a crystal, it is nonetheless a living being." -- Nikola Tesla

A person under mind control by a cat has been found.


for a while i've had a slight fear that the bluetooth from my airpods could be frying my brain this weekend i pulled the raw data from a $30m government study of 1,679 mice blasted with cell phone radiation and reanalyzed it what i found was...not what I expected? 🧵






