Timothée Peter

56 posts

Timothée Peter

Timothée Peter

@TimotheePeter

Katılım Eylül 2010
275 Takip Edilen259 Takipçiler
Timothée Peter
Timothée Peter@TimotheePeter·
Live jacobian computation through a function that contains an iterative solver. Hope to release this soon.
English
0
0
1
55
Timothée Peter
Timothée Peter@TimotheePeter·
@pirodir This demo is Mk14. I'm currently building Mk16. I wrote them all, yes but with the help of llms for the latest ones.
English
0
0
1
87
patricio
patricio@pirodir·
@TimotheePeter How long did it take for dekal to reach this level of functionality? It’s written by you alone? I understand you are demoing a feature but CAD as REPL in general is so cool!
English
1
0
0
83
Timothée Peter
Timothée Peter@TimotheePeter·
Here's me modeling a spherical five bar linkage using code
English
9
19
259
26.5K
90eights👊🏾🇰🇪
90eights👊🏾🇰🇪@__Kinya·
@JacklouisP @TimotheePeter Differentiable simulation engines are the next frontier for mechanical design. Being able to describe kinematics in code while leveraging gradient-based optimization for workspace mapping is a huge efficiency gain over traditional CAD iterations. 🤖📐 #Kinematics #Robotics
English
1
0
1
64
Jack 🤖
Jack 🤖@JacklouisP·
Just discovered Dekal via @TimotheePeter's video modeling a spherical five-bar linkage in code. What makes it interesting: > Code-based kinematic design with a differentiable simulation engine > Describe mechanisms in code, instantly get workspace mapping, reachability analysis, and static load testing across every joint > Idea to kinematic validation ASAP; then push to CAD Its a cool project built by a mechanical engineer frustrated with iteration speed in existing tools.
English
7
39
274
14.5K
Timothée Peter
Timothée Peter@TimotheePeter·
@basikthings Thanks! Current plan is to monetize it, yes. Not against having a free license for non-commercial use though.
English
1
0
1
230
Bryan
Bryan@basikthings·
@TimotheePeter Hey @TimotheePeter, super interesting! Do you plan to monetize this somehow or will you be open sourcing this?
English
1
0
2
326
Timothée Peter
Timothée Peter@TimotheePeter·
demo.dekal.sh Try a live demo of Dekal's code based geometric constraint solver for CAD and robotics kinematics design.
English
0
0
3
424
Timothée Peter
Timothée Peter@TimotheePeter·
Functional programing is a good fit for an implicit kernel, since modeling operations are functions themselves. Perhaps logic programing is a good fit for explicit (brep) kernels since the modeling operations are database mutations that might fail?
English
0
0
1
287
Timothée Peter
Timothée Peter@TimotheePeter·
We are extending this with a static force and torque solver
Timothée Peter tweet media
English
0
1
1
230
Timothée Peter
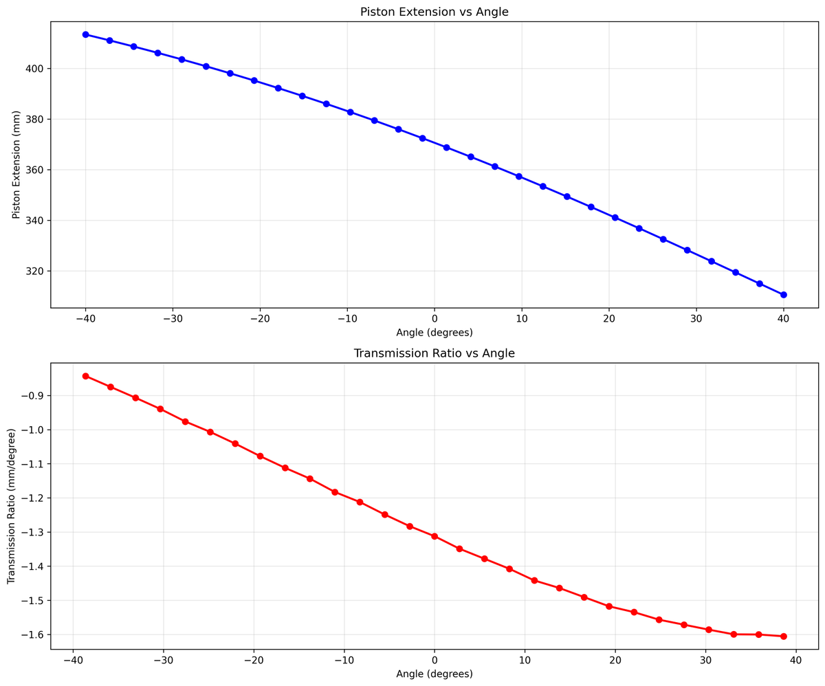
Timothée Peter@TimotheePeter·
Testing the compiler's ability to solve kinematics in real time. This also lets you extract positions or transmission ratios for analysis.
Timothée Peter tweet media
English
1
1
7
320
Timothée Peter
Timothée Peter@TimotheePeter·
@beffjezos Are you all writing your libraries in python? Would be cool to have access to Jax from OCaml or Rust
English
1
0
0
41
Beff (e/acc)
Beff (e/acc)@beffjezos·
Extropic libraries for Thermo ML are built in JAX. Open sourcing coming soon. Long JAX.
English
14
17
126
20.6K
Timothée Peter
Timothée Peter@TimotheePeter·
Building a tool that lets you describe a mechanical assembly kinematic structure, parametrize it and visualize it in multiple assembly configurations.
Timothée Peter tweet media
English
0
0
3
215
Timothée Peter
Timothée Peter@TimotheePeter·
@OnurGumusDev Approximating with a rectangular bounding box is perfectly fine to start off with. I'll have a look, thanks!
English
0
0
0
23
Novian.Works
Novian.Works@OnurGumusDev·
Cool idea! Right now, the packer only supports rectangular boxes (rectangular prisms), so it’s best suited for packing items that can be approximated with bounding boxes. If your 3D printer parts are roughly box-shaped, you could definitely use it to arrange them efficiently on a print bed by treating the bed as the container and setting the Z-axis height to the part height. That said, it doesn’t yet support arbitrary mesh shapes like STL files, so it won’t account for curves or voids in the model.
English
1
0
0
34
Novian.Works
Novian.Works@OnurGumusDev·
🚀 Just added a new feature to my F#-powered 3D bin packer: You can now drag and drop boxes after the algorithm runs perfect for fine-tuning your Tetris skills 🧠📦 Try it out: 3dpack.ing
English
1
2
9
414
Timothée Peter
Timothée Peter@TimotheePeter·
@simonpj0 @TimSweeneyEpic would be cool to be able to use Verse outside of the Unreal Editor for Fortnite! Any plans/timeline for releasing Verse as a standalone language and compiler?
English
0
0
0
37
Timothée Peter
Timothée Peter@TimotheePeter·
@ThePrimeagen, thoughts on F# compared to ocaml? F# seems to get me off the ground a lot faster than ocaml
English
0
0
0
24