
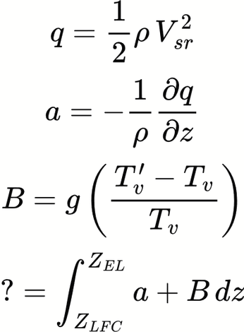
Entrainment CAPE (ECAPE) is the next big thing in severe wx forecasting, imho. Brilliant work in progress by @UpdraftwMax to take a simple sounding and estimate updraft velocity with incredible accuracy. Big deal for tornado, hail potential etc.
John Peters
1.5K posts

@UpdraftwMax
Assistant Professor of Meteorology, Penn State Certified Consulting Meteorologist (CCM) expertise in cloud and storm dynamics

Entrainment CAPE (ECAPE) is the next big thing in severe wx forecasting, imho. Brilliant work in progress by @UpdraftwMax to take a simple sounding and estimate updraft velocity with incredible accuracy. Big deal for tornado, hail potential etc.















Interesting that the HMON/HWRF have pretty consistently been showing a much larger system tomorrow afternoon, while the HAFS have been showing a much more compact inner core. HWRF (not shown) is similar to HAFS this cycle, though
