
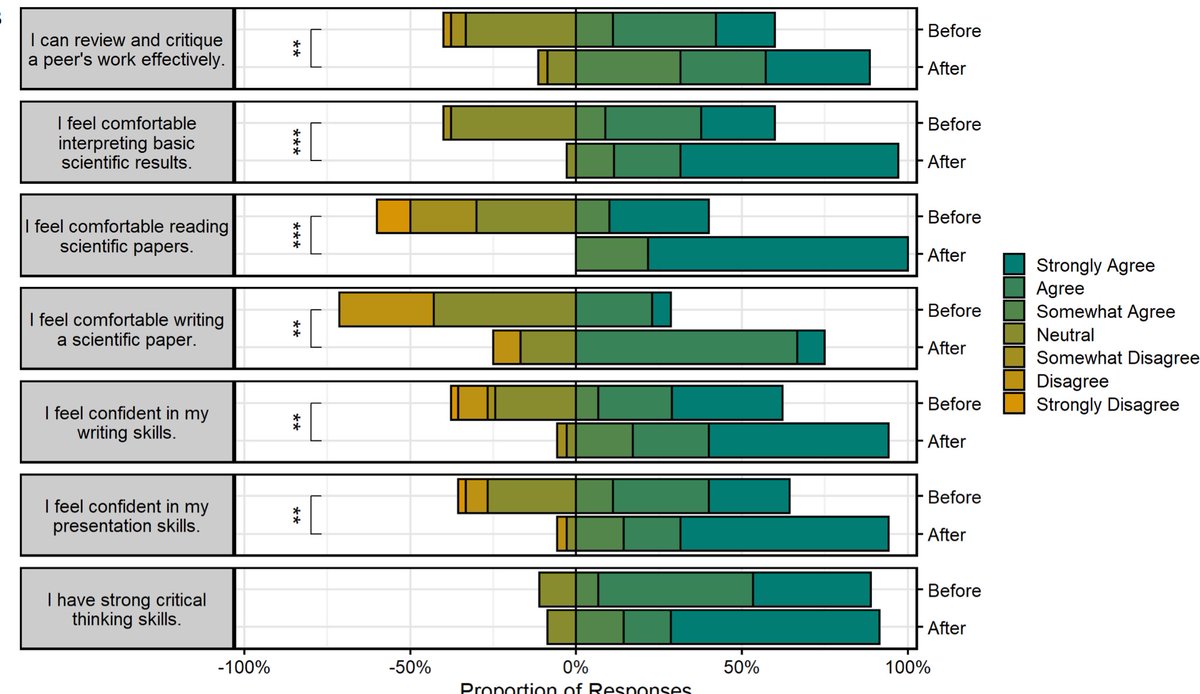
New in @AdvPhysiolEduc from @UMich & @WUSTL: Evaluation of an 8-week high school #sciencecommunication course designed to read, write, and present scientific research (@radykm et al.) ow.ly/PpJM50PR6LV #HighSchool #WritingSkills #PresentationSkills #ArticlesinPress













