Zincoven

4.7K posts

Zincoven

Zincoven

@_Jacobluke

Katılım Ocak 2013
192 Takip Edilen139 Takipçiler
Zincoven retweetledi
Estimation Stats
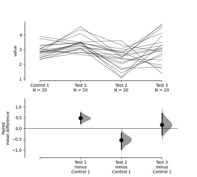
Estimation Stats@EstimationStats·
Today we are excited to launch DABEST’s first major update. The Python library now offers four new functions: repeated measures, the ∆∆ plot (‘delta-delta’), proportional plot, and mini-meta plot. These expand DABEST’s capabilities to more complex experimental designs. 🧵1/13
Estimation Stats tweet mediaEstimation Stats tweet mediaEstimation Stats tweet mediaEstimation Stats tweet media
English
2
22
52
10.6K